🇳🇴 🇬🇧 🇩🇪 🇨🇿 🇫🇮

Meteor Skørpingin yllä 2017-08-31 20:02:32 UTC

KML-tiedosto  |  Interaktiivinen kartta

Kartta näyttää meteorin suuntahavainnot. Vaaleammat viivat näyttävät suunnat havaintoasemilta meteorin ilmestyessä, ja tummemmat viivat näyttävät, missä se viimeksi nähtiin. Sininen nuoli näyttää meteorin näkyvän lennon.

static map
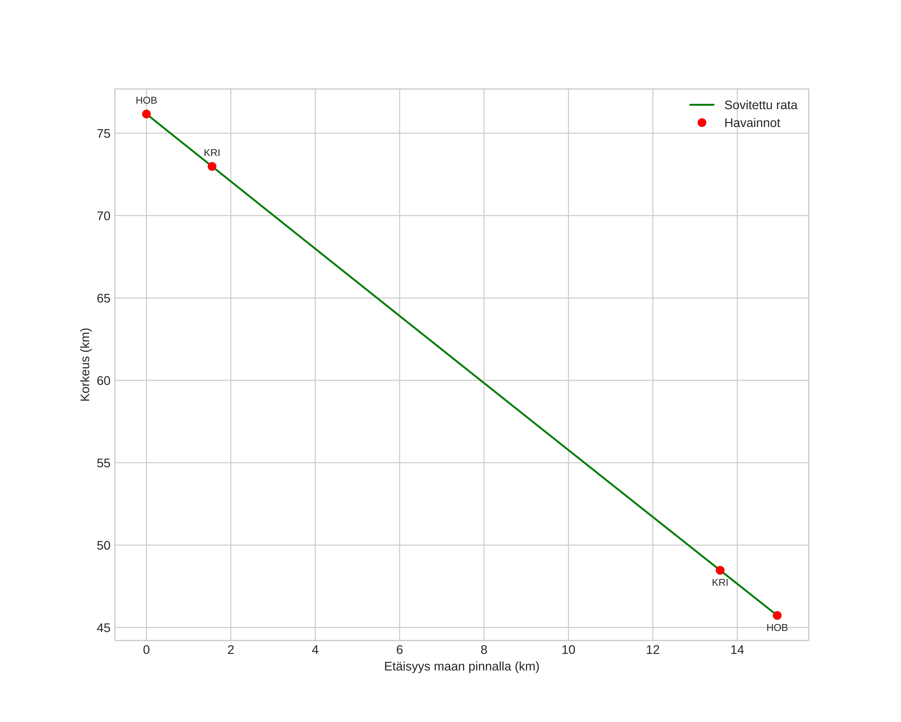
height profile
Meteorin ilmakehärata:
Alkukorkeus: 76,2 km
Loppukorkeus: 45,7 km
Alkupiste: 56,691N 9,821E
Loppupiste: 56,814N 9,922E
Suunta: 24,2°
Kallistuskulma: 63,9°
Tulonopeus: 16,3 km/s
Radiantin R,A,: 18:23 (275,8°)
Radiantin Dekl,: 27,8°
Meteoriparvi: Sporadinen
Meteoroidin rataelementit:
Perihelietäisyys: 0,993 AU
Eksentrisyys: 0,602
Inklinaatio: 14,5°
Nousevan solmun pituus: 158,4°
Perihelin argumentti: 197,0°
Keskianomalia: 356,6°
Epookki: 2017 AUG 31 20:02:32
orbit plot

Ei-interaktiivinen kuvaaja | Interaktiivinen kuvaaja

position vs time
speed and acceleration