🇳🇴 🇬🇧 🇩🇪 🇨🇿 🇫🇮

Meteor, poloha: Ă…mot 2017-09-01 21:05:16 UTC

Soubor KML  |  InteraktivnĂ­ mapa

Mapa zobrazuje dráhy meteoru. Světlejší čáry ukazují směry od pozorovacích stanic při objevení se meteoru a tmavší čáry, kde byl naposledy viděn. Modrá šipka značí viditelnou dráhu meteoru.

static map
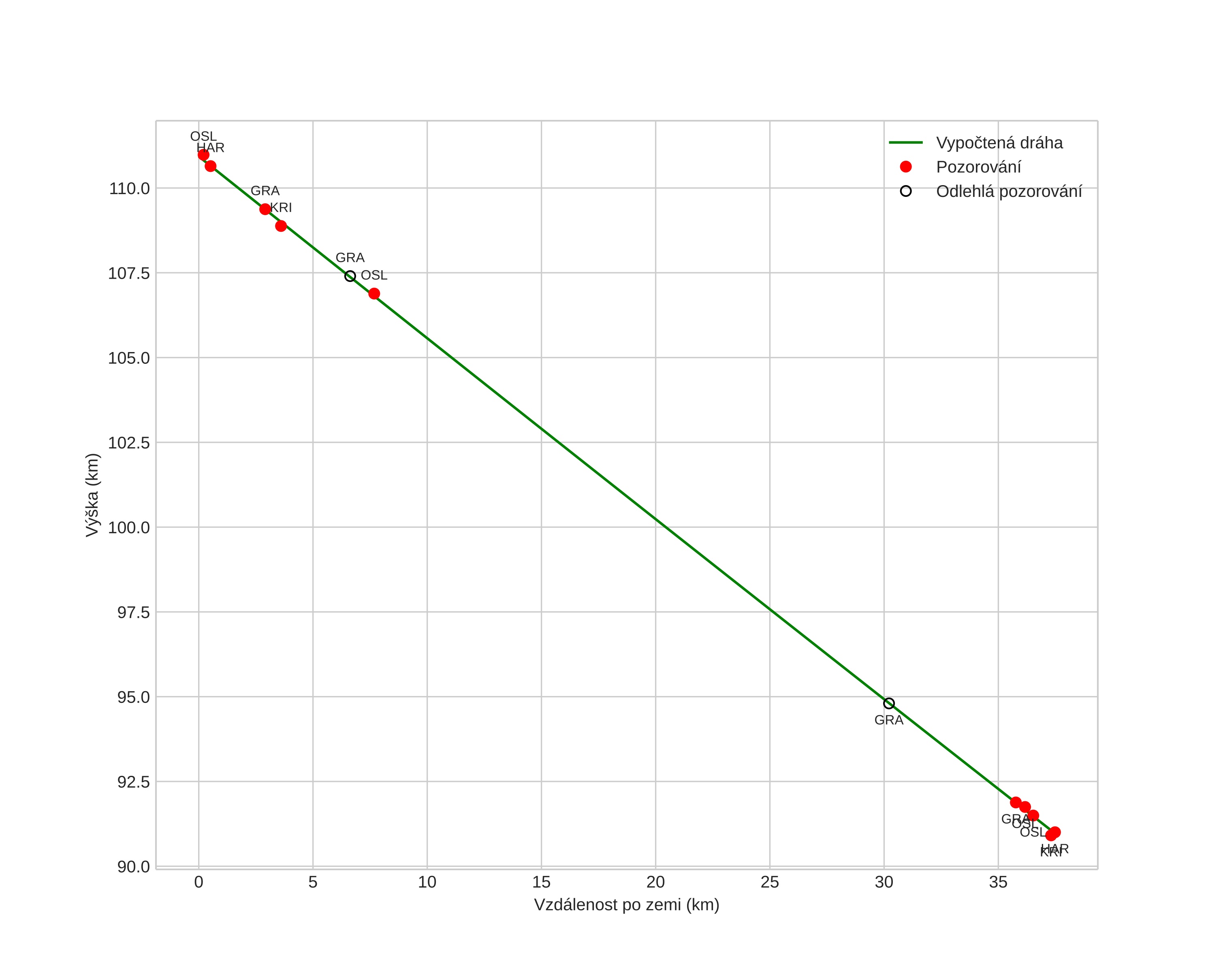
height profile
Atmosférická dráha meteoru:
Počáteční výška: 110,9 km
Konečná výška: 91,0 km
Počáteční poloha: 59,896N 8,786E
Konečná poloha: 59,740N 8,191E
Směr: 242,8°
Sklon: 28,0°
VstupnĂ­ rychlost: 67,1 km/s
Rektascenze radiantu: 02:58 (44,5°)
Deklinace radiantu: 37,1°
MeteorickĂ˝ roj: sporadickĂ˝
Elementy dráhy meteoroidu:
Vzdálenost v periheliu: 0,814 AU
Excentricita: 0,958
Sklon dráhy: 144,1°
Délka vzestupného uzlu: 159,4°
Argument perihelia: 232,8°
Střední anomálie: 359,6°
Epocha: 2017 SEP 01 21:05:16
orbit plot

NeinteraktivnĂ­ graf | InteraktivnĂ­ graf

position vs time
speed and acceleration