🇳🇴 🇬🇧 🇩🇪 🇨🇿 🇫🇮

Meteor Åmotin yllä 2017-09-01 21:05:16 UTC

KML-tiedosto  |  Interaktiivinen kartta

Kartta näyttää meteorin suuntahavainnot. Vaaleammat viivat näyttävät suunnat havaintoasemilta meteorin ilmestyessä, ja tummemmat viivat näyttävät, missä se viimeksi nähtiin. Sininen nuoli näyttää meteorin näkyvän lennon.

static map
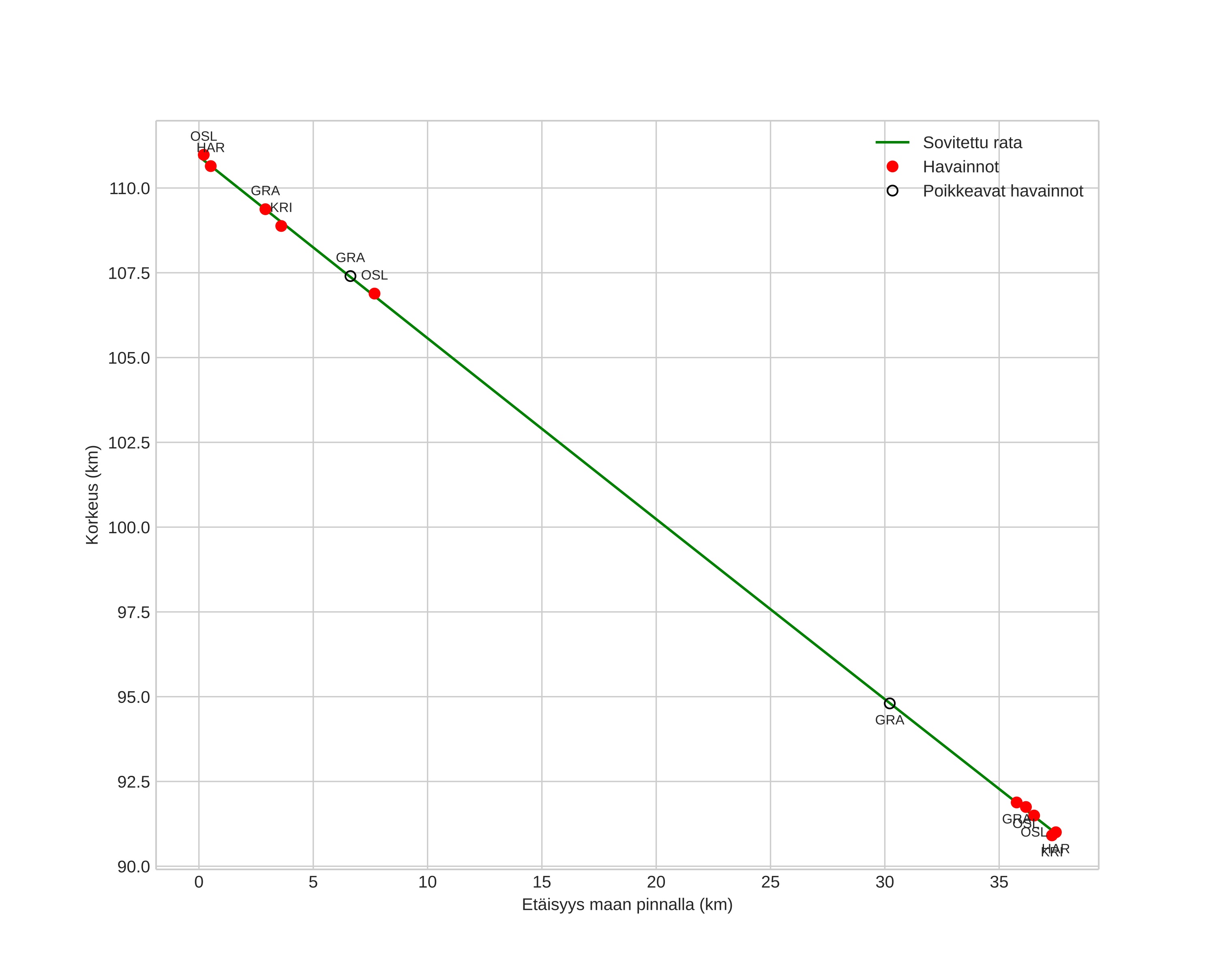
height profile
Meteorin ilmakehärata:
Alkukorkeus: 110,9 km
Loppukorkeus: 91,0 km
Alkupiste: 59,896N 8,786E
Loppupiste: 59,740N 8,191E
Suunta: 242,8°
Kallistuskulma: 28,0°
Tulonopeus: 67,1 km/s
Radiantin R,A,: 02:58 (44,5°)
Radiantin Dekl,: 37,1°
Meteoriparvi: Sporadinen
Meteoroidin rataelementit:
Perihelietäisyys: 0,814 AU
Eksentrisyys: 0,958
Inklinaatio: 144,1°
Nousevan solmun pituus: 159,4°
Perihelin argumentti: 232,8°
Keskianomalia: 359,6°
Epookki: 2017 SEP 01 21:05:16
orbit plot

Ei-interaktiivinen kuvaaja | Interaktiivinen kuvaaja

position vs time
speed and acceleration