🇳🇴 🇬🇧 🇩🇪 🇨🇿 🇫🇮

Meteor, poloha: Rena 2017-09-01 22:19:39 UTC

Soubor KML  |  InteraktivnĂ­ mapa

Mapa zobrazuje dráhy meteoru. Světlejší čáry ukazují směry od pozorovacích stanic při objevení se meteoru a tmavší čáry, kde byl naposledy viděn. Modrá šipka značí viditelnou dráhu meteoru.

static map
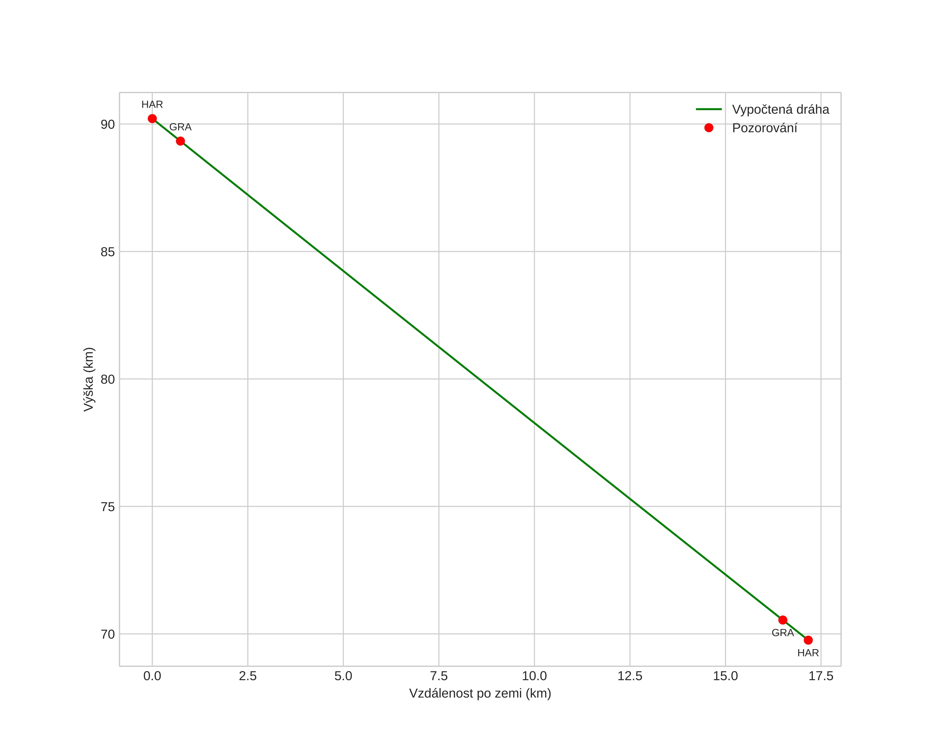
height profile
Atmosférická dráha meteoru:
Počáteční výška: 90,2 km
Konečná výška: 69,8 km
Počáteční poloha: 61,210N 11,064E
Konečná poloha: 61,121N 11,324E
Směr: 125,4°
Sklon: 49,9°
VstupnĂ­ rychlost: 21,4 km/s
Rektascenze radiantu: 15:49 (237,4°)
Deklinace radiantu: 55,5°
MeteorickĂ˝ roj: sporadickĂ˝
Elementy dráhy meteoroidu:
Vzdálenost v periheliu: 0,994 AU
Excentricita: 0,640
Sklon dráhy: 27,6°
Délka vzestupného uzlu: 159,4°
Argument perihelia: 163,9°
Střední anomálie: 2,7°
Epocha: 2017 SEP 01 22:19:39
orbit plot

NeinteraktivnĂ­ graf | InteraktivnĂ­ graf

position vs time
speed and acceleration