🇳🇴 🇬🇧 🇩🇪 🇨🇿 🇫🇮

Meteor Renan yllä 2017-09-01 22:19:39 UTC

KML-tiedosto  |  Interaktiivinen kartta

Kartta näyttää meteorin suuntahavainnot. Vaaleammat viivat näyttävät suunnat havaintoasemilta meteorin ilmestyessä, ja tummemmat viivat näyttävät, missä se viimeksi nähtiin. Sininen nuoli näyttää meteorin näkyvän lennon.

static map
height profile
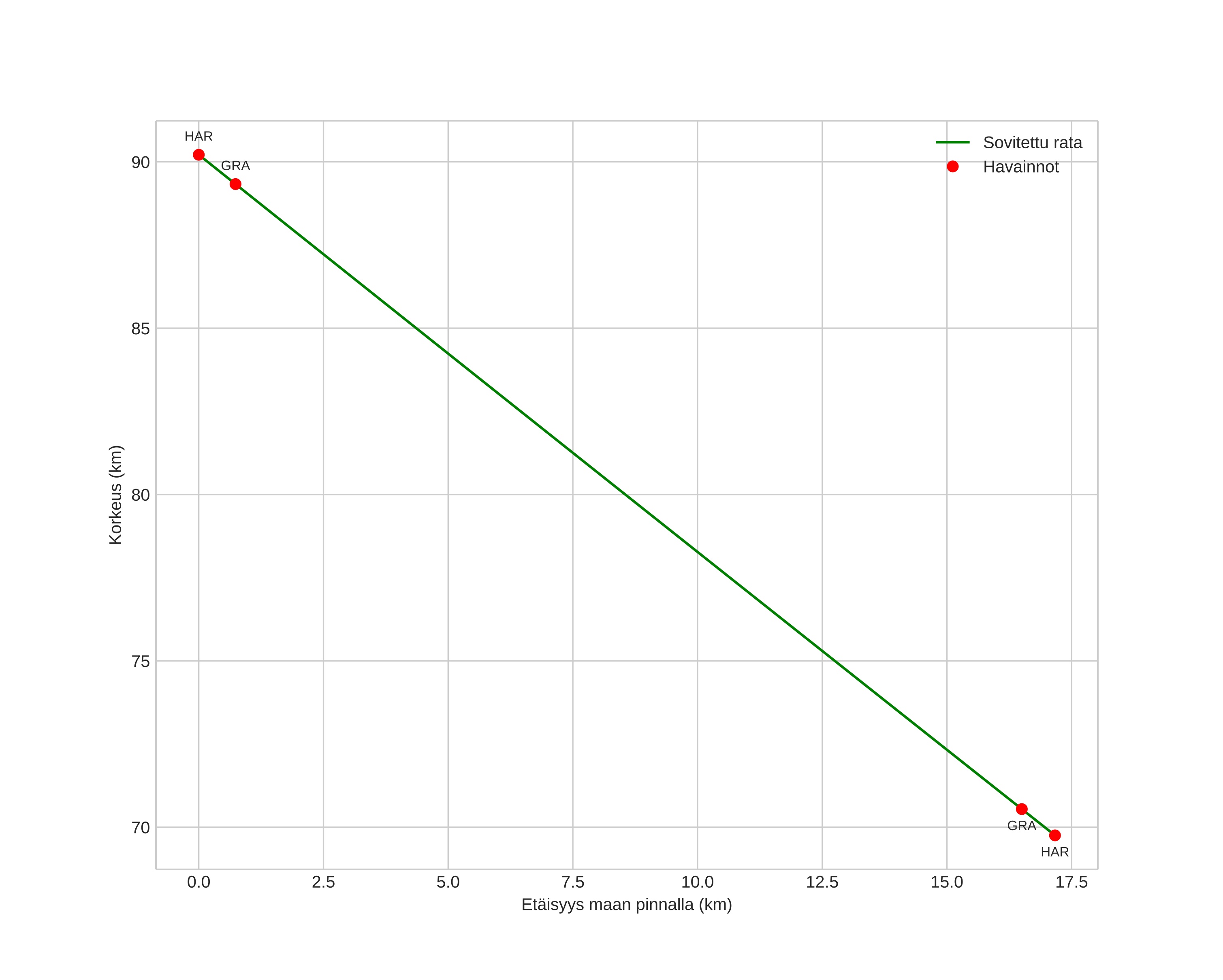
Meteorin ilmakehärata:
Alkukorkeus: 90,2 km
Loppukorkeus: 69,8 km
Alkupiste: 61,210N 11,064E
Loppupiste: 61,121N 11,324E
Suunta: 125,4°
Kallistuskulma: 49,9°
Tulonopeus: 21,4 km/s
Radiantin R,A,: 15:49 (237,4°)
Radiantin Dekl,: 55,5°
Meteoriparvi: Sporadinen
Meteoroidin rataelementit:
Perihelietäisyys: 0,994 AU
Eksentrisyys: 0,640
Inklinaatio: 27,6°
Nousevan solmun pituus: 159,4°
Perihelin argumentti: 163,9°
Keskianomalia: 2,7°
Epookki: 2017 SEP 01 22:19:39
orbit plot

Ei-interaktiivinen kuvaaja | Interaktiivinen kuvaaja

position vs time
speed and acceleration