🇳🇴 🇬🇧 🇩🇪 🇨🇿 🇫🇮

Meteor, poloha: Ă…mli 2017-09-01 23:01:25 UTC

Soubor KML  |  InteraktivnĂ­ mapa

Mapa zobrazuje dráhy meteoru. Světlejší čáry ukazují směry od pozorovacích stanic při objevení se meteoru a tmavší čáry, kde byl naposledy viděn. Modrá šipka značí viditelnou dráhu meteoru.

static map
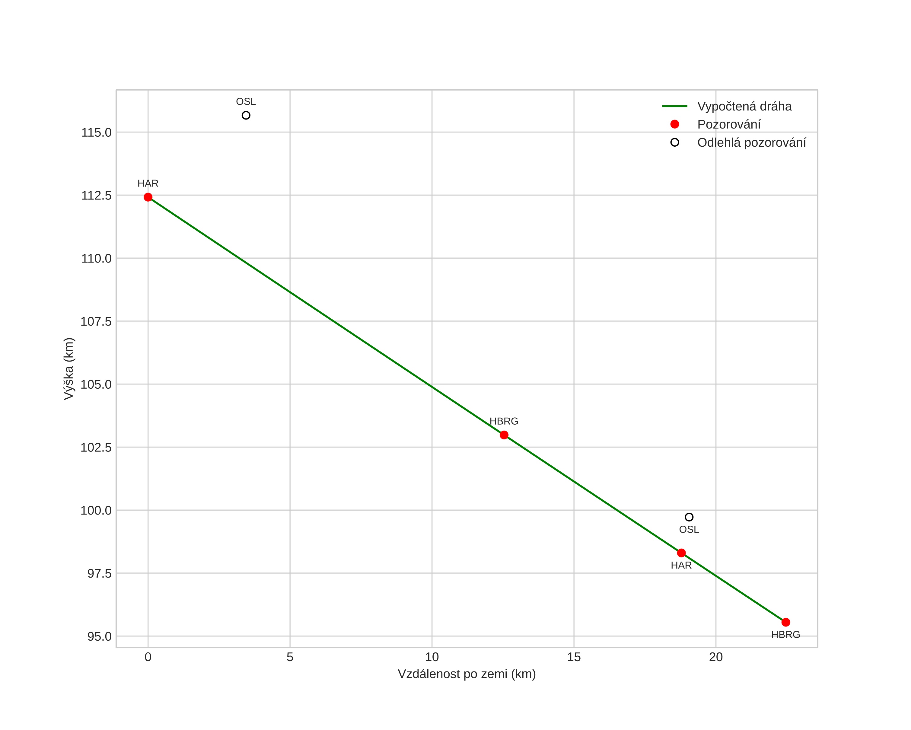
height profile
Atmosférická dráha meteoru:
Počáteční výška: 112,4 km
Konečná výška: 95,5 km
Počáteční poloha: 58,944N 8,608E
Konečná poloha: 58,912N 8,221E
Směr: 260,9°
Sklon: 37,0°
VstupnĂ­ rychlost: 59,9 km/s
Rektascenze radiantu: 03:23 (50,8°)
Deklinace radiantu: 35,1°
MeteorickĂ˝ roj: sporadickĂ˝
Elementy dráhy meteoroidu:
Vzdálenost v periheliu: 0,741 AU
Excentricita: 0,421
Sklon dráhy: 147,8°
Délka vzestupného uzlu: 159,4°
Argument perihelia: 264,0°
Střední anomálie: 321,1°
Epocha: 2017 SEP 01 23:01:25
orbit plot

NeinteraktivnĂ­ graf | InteraktivnĂ­ graf

position vs time
speed and acceleration