🇳🇴 🇬🇧 🇩🇪 🇨🇿 🇫🇮

Meteor Åmlin yllä 2017-09-01 23:01:25 UTC

KML-tiedosto  |  Interaktiivinen kartta

Kartta näyttää meteorin suuntahavainnot. Vaaleammat viivat näyttävät suunnat havaintoasemilta meteorin ilmestyessä, ja tummemmat viivat näyttävät, missä se viimeksi nähtiin. Sininen nuoli näyttää meteorin näkyvän lennon.

static map
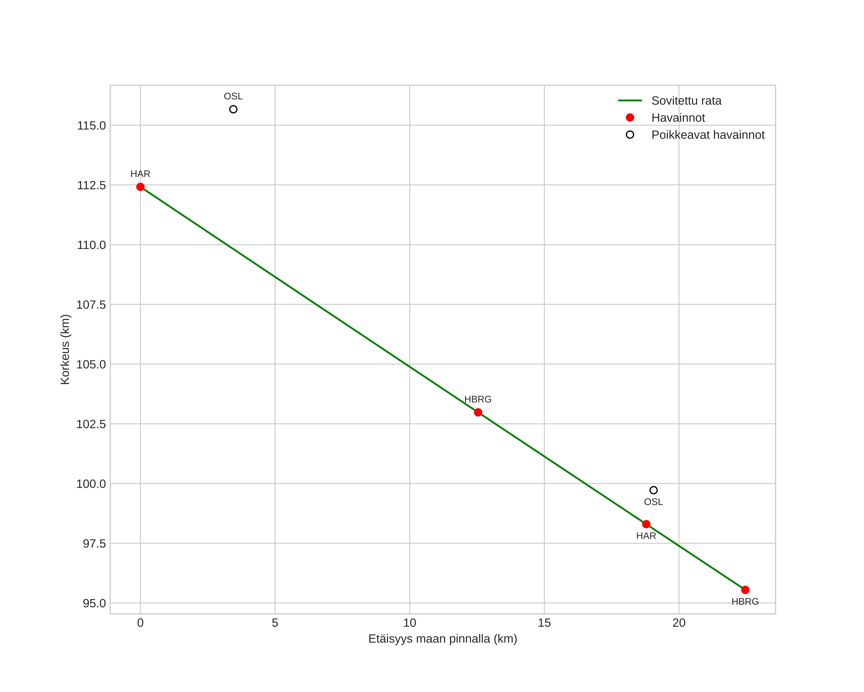
height profile
Meteorin ilmakehärata:
Alkukorkeus: 112,4 km
Loppukorkeus: 95,5 km
Alkupiste: 58,944N 8,608E
Loppupiste: 58,912N 8,221E
Suunta: 260,9°
Kallistuskulma: 37,0°
Tulonopeus: 59,9 km/s
Radiantin R,A,: 03:23 (50,8°)
Radiantin Dekl,: 35,1°
Meteoriparvi: Sporadinen
Meteoroidin rataelementit:
Perihelietäisyys: 0,741 AU
Eksentrisyys: 0,421
Inklinaatio: 147,8°
Nousevan solmun pituus: 159,4°
Perihelin argumentti: 264,0°
Keskianomalia: 321,1°
Epookki: 2017 SEP 01 23:01:25
orbit plot

Ei-interaktiivinen kuvaaja | Interaktiivinen kuvaaja

position vs time
speed and acceleration