🇳🇴 🇬🇧 🇩🇪 🇨🇿 🇫🇮

Meteor, poloha: Filipstad 2017-09-02 01:30:33 UTC

Soubor KML  |  InteraktivnĂ­ mapa

Mapa zobrazuje dráhy meteoru. Světlejší čáry ukazují směry od pozorovacích stanic při objevení se meteoru a tmavší čáry, kde byl naposledy viděn. Modrá šipka značí viditelnou dráhu meteoru.

static map
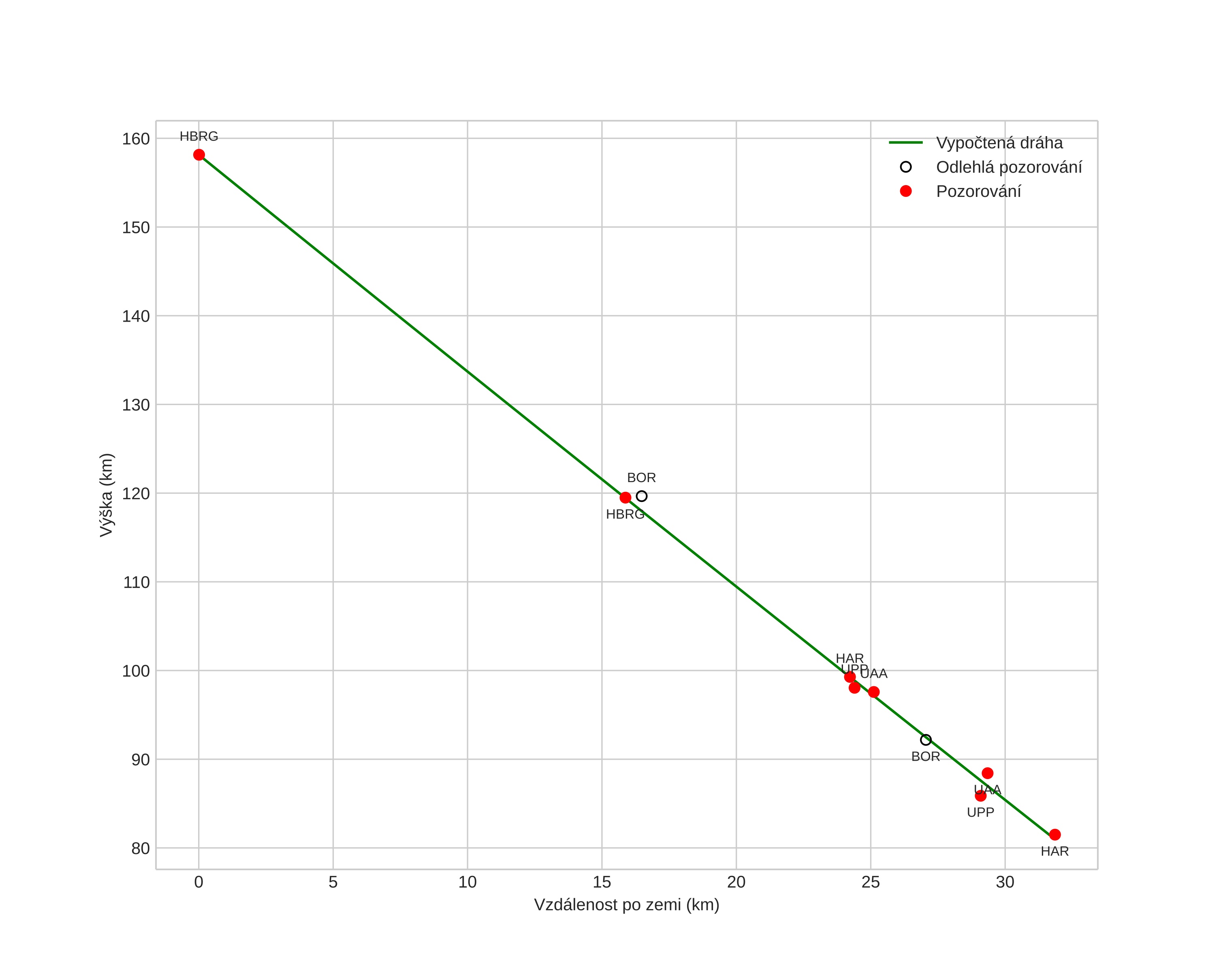
height profile
Atmosférická dráha meteoru:
Počáteční výška: 158,1 km
Konečná výška: 81,4 km
Počáteční poloha: 59,702N 13,833E
Konečná poloha: 59,958N 14,080E
Směr: 25,7°
Sklon: 67,6°
VstupnĂ­ rychlost: 47,0 km/s
Rektascenze radiantu: 00:19 (4,9°)
Deklinace radiantu: 38,1°
MeteorickĂ˝ roj: sporadickĂ˝
Elementy dráhy meteoroidu:
Vzdálenost v periheliu: 0,380 AU
Excentricita: 0,876
Sklon dráhy: 81,1°
Délka vzestupného uzlu: 159,5°
Argument perihelia: 289,6°
Střední anomálie: 352,2°
Epocha: 2017 SEP 02 01:30:33
orbit plot

NeinteraktivnĂ­ graf | InteraktivnĂ­ graf

position vs time
speed and acceleration