🇳🇴 🇬🇧 🇩🇪 🇨🇿 🇫🇮

Meteor Filipstadin yllä 2017-09-02 01:30:33 UTC

KML-tiedosto  |  Interaktiivinen kartta

Kartta näyttää meteorin suuntahavainnot. Vaaleammat viivat näyttävät suunnat havaintoasemilta meteorin ilmestyessä, ja tummemmat viivat näyttävät, missä se viimeksi nähtiin. Sininen nuoli näyttää meteorin näkyvän lennon.

static map
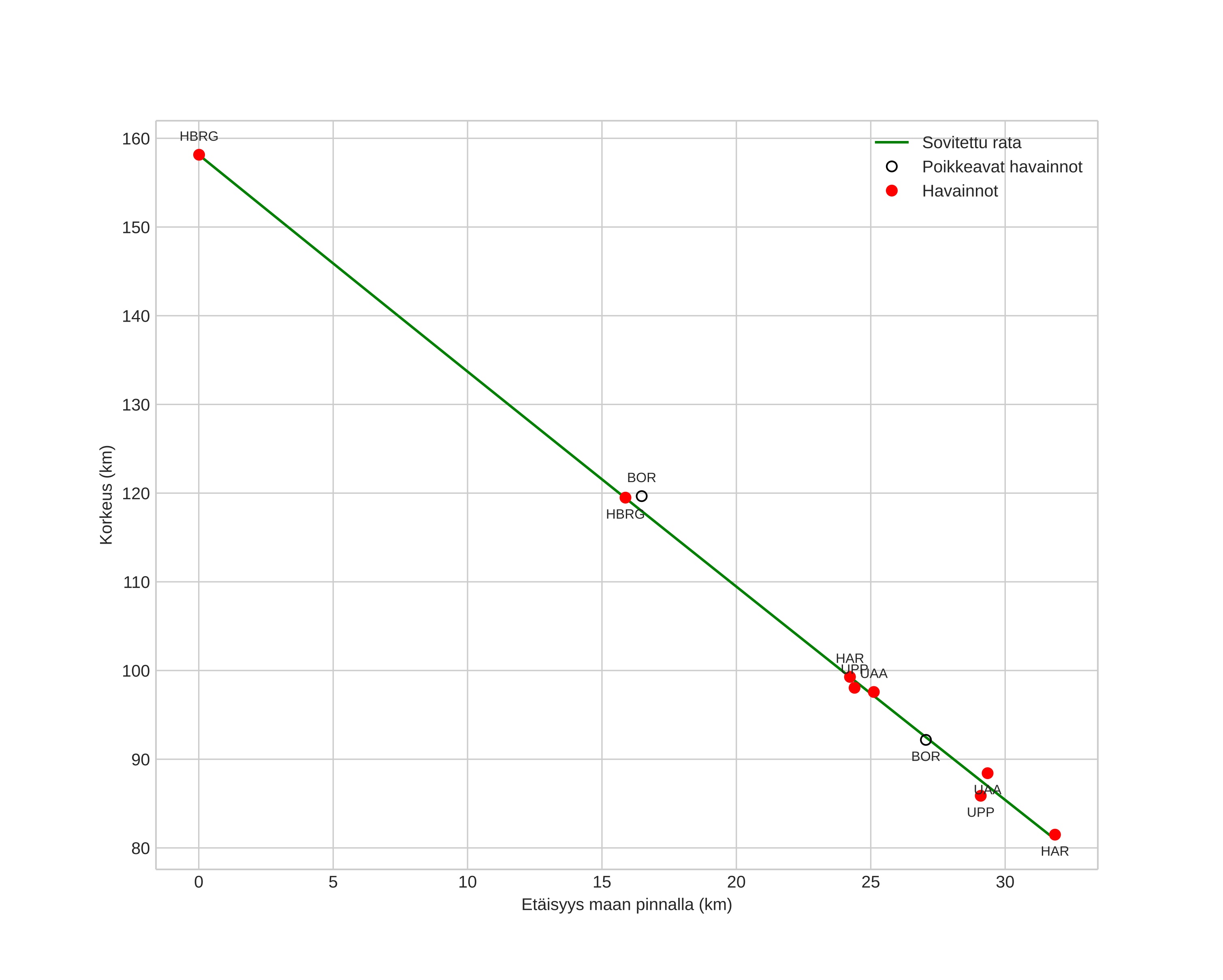
height profile
Meteorin ilmakehärata:
Alkukorkeus: 158,1 km
Loppukorkeus: 81,4 km
Alkupiste: 59,702N 13,833E
Loppupiste: 59,958N 14,080E
Suunta: 25,7°
Kallistuskulma: 67,6°
Tulonopeus: 47,0 km/s
Radiantin R,A,: 00:19 (4,9°)
Radiantin Dekl,: 38,1°
Meteoriparvi: Sporadinen
Meteoroidin rataelementit:
Perihelietäisyys: 0,380 AU
Eksentrisyys: 0,876
Inklinaatio: 81,1°
Nousevan solmun pituus: 159,5°
Perihelin argumentti: 289,6°
Keskianomalia: 352,2°
Epookki: 2017 SEP 02 01:30:33
orbit plot

Ei-interaktiivinen kuvaaja | Interaktiivinen kuvaaja

position vs time
speed and acceleration