🇳🇴 🇬🇧 🇩🇪 🇨🇿 🇫🇮

Meteor, poloha: Rakkestad 2017-09-02 20:10:23 UTC

Soubor KML  |  InteraktivnĂ­ mapa

Mapa zobrazuje dráhy meteoru. Světlejší čáry ukazují směry od pozorovacích stanic při objevení se meteoru a tmavší čáry, kde byl naposledy viděn. Modrá šipka značí viditelnou dráhu meteoru.

static map
height profile
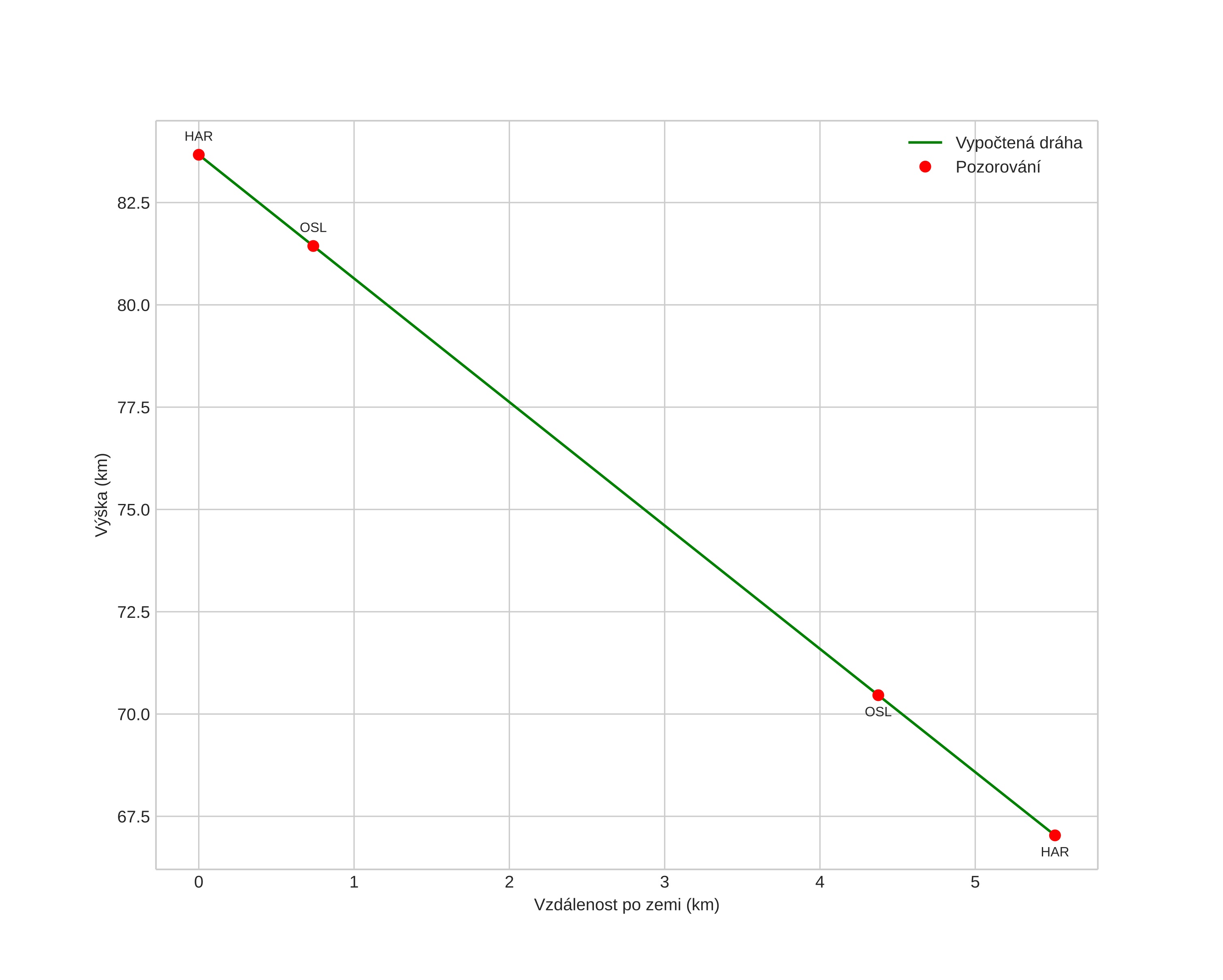
Atmosférická dráha meteoru:
Počáteční výška: 83,7 km
Konečná výška: 67,0 km
Počáteční poloha: 59,373N 11,290E
Konečná poloha: 59,377N 11,387E
Směr: 85,6°
Sklon: 71,7°
VstupnĂ­ rychlost: 22,7 km/s
Rektascenze radiantu: 17:26 (261,6°)
Deklinace radiantu: 52,5°
MeteorickĂ˝ roj: sporadickĂ˝
Elementy dráhy meteoroidu:
Vzdálenost v periheliu: 1,009 AU
Excentricita: 0,778
Sklon dráhy: 29,1°
Délka vzestupného uzlu: 160,3°
Argument perihelia: 181,1°
Střední anomálie: 359,9°
Epocha: 2017 SEP 02 20:10:23
orbit plot

NeinteraktivnĂ­ graf | InteraktivnĂ­ graf

position vs time
speed and acceleration