🇳🇴 🇬🇧 🇩🇪 🇨🇿 🇫🇮

Meteor Rakkestadin yllä 2017-09-02 20:10:23 UTC

KML-tiedosto  |  Interaktiivinen kartta

Kartta näyttää meteorin suuntahavainnot. Vaaleammat viivat näyttävät suunnat havaintoasemilta meteorin ilmestyessä, ja tummemmat viivat näyttävät, missä se viimeksi nähtiin. Sininen nuoli näyttää meteorin näkyvän lennon.

static map
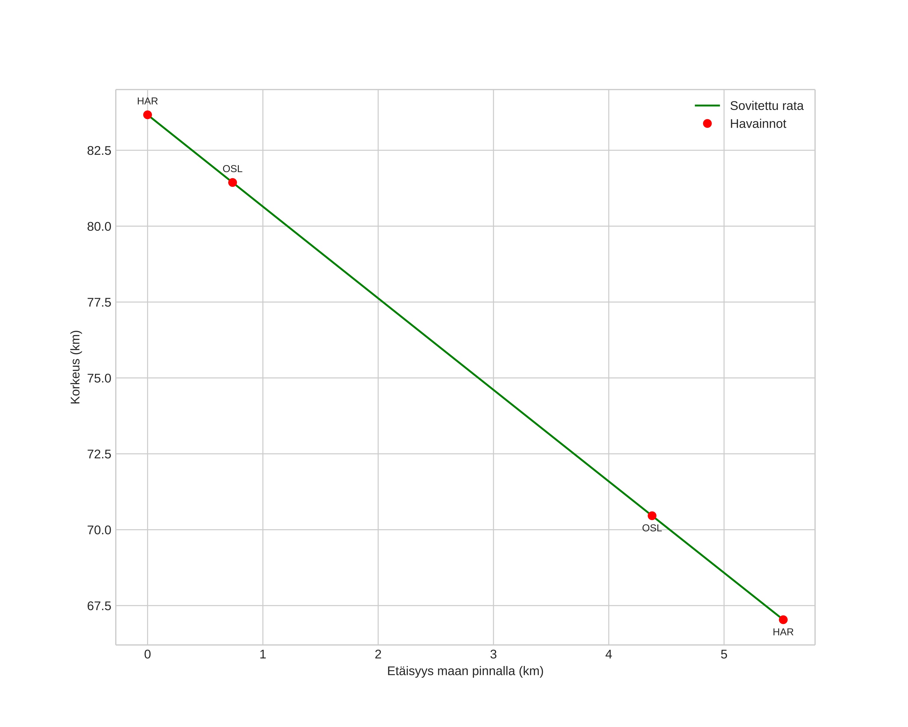
height profile
Meteorin ilmakehärata:
Alkukorkeus: 83,7 km
Loppukorkeus: 67,0 km
Alkupiste: 59,373N 11,290E
Loppupiste: 59,377N 11,387E
Suunta: 85,6°
Kallistuskulma: 71,7°
Tulonopeus: 22,7 km/s
Radiantin R,A,: 17:26 (261,6°)
Radiantin Dekl,: 52,5°
Meteoriparvi: Sporadinen
Meteoroidin rataelementit:
Perihelietäisyys: 1,009 AU
Eksentrisyys: 0,778
Inklinaatio: 29,1°
Nousevan solmun pituus: 160,3°
Perihelin argumentti: 181,1°
Keskianomalia: 359,9°
Epookki: 2017 SEP 02 20:10:23
orbit plot

Ei-interaktiivinen kuvaaja | Interaktiivinen kuvaaja

position vs time
speed and acceleration