🇳🇴 🇬🇧 🇩🇪 🇨🇿 🇫🇮

Meteor, poloha: Noresund 2017-09-02 20:38:59 UTC

Soubor KML  |  InteraktivnĂ­ mapa

Mapa zobrazuje dráhy meteoru. Světlejší čáry ukazují směry od pozorovacích stanic při objevení se meteoru a tmavší čáry, kde byl naposledy viděn. Modrá šipka značí viditelnou dráhu meteoru.

static map
height profile
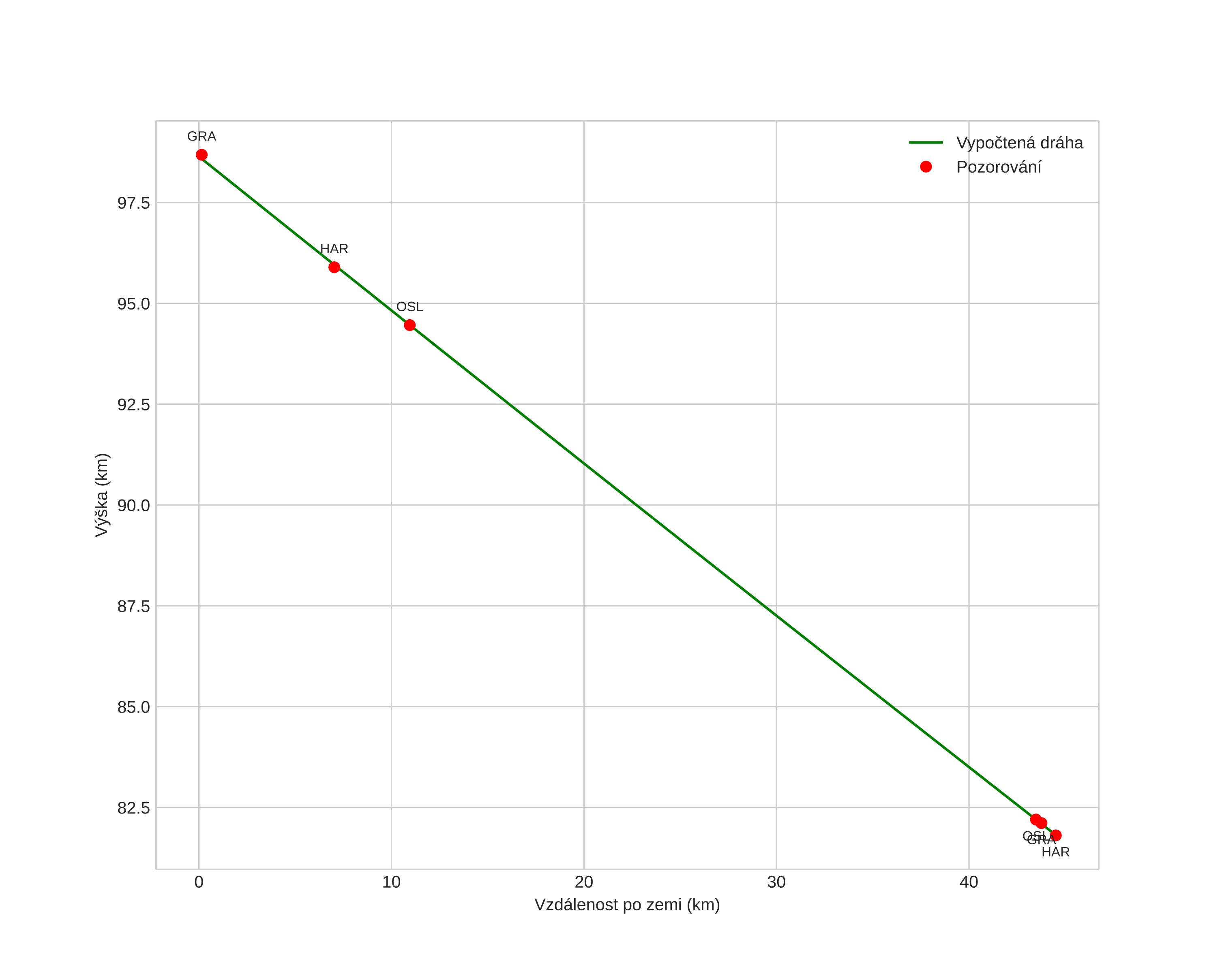
Atmosférická dráha meteoru:
Počáteční výška: 98,6 km
Konečná výška: 81,8 km
Počáteční poloha: 60,066N 10,473E
Konečná poloha: 60,315N 9,843E
Směr: 308,8°
Sklon: 20,7°
VstupnĂ­ rychlost: 36,5 km/s
Rektascenze radiantu: 23:17 (349,4°)
Deklinace radiantu: -1,1°
MeteorickĂ˝ roj: sporadickĂ˝
Elementy dráhy meteoroidu:
Vzdálenost v periheliu: 0,327 AU
Excentricita: 1,001
Sklon dráhy: 4,6°
Délka vzestupného uzlu: 160,3°
Argument perihelia: 290,6°
Střední anomálie: -0,0°
Epocha: 2017 SEP 02 20:38:59
orbit plot

NeinteraktivnĂ­ graf | InteraktivnĂ­ graf

position vs time
speed and acceleration