🇳🇴 🇬🇧 🇩🇪 🇨🇿 🇫🇮

Meteor Noresundin yllä 2017-09-02 20:38:59 UTC

KML-tiedosto  |  Interaktiivinen kartta

Kartta näyttää meteorin suuntahavainnot. Vaaleammat viivat näyttävät suunnat havaintoasemilta meteorin ilmestyessä, ja tummemmat viivat näyttävät, missä se viimeksi nähtiin. Sininen nuoli näyttää meteorin näkyvän lennon.

static map
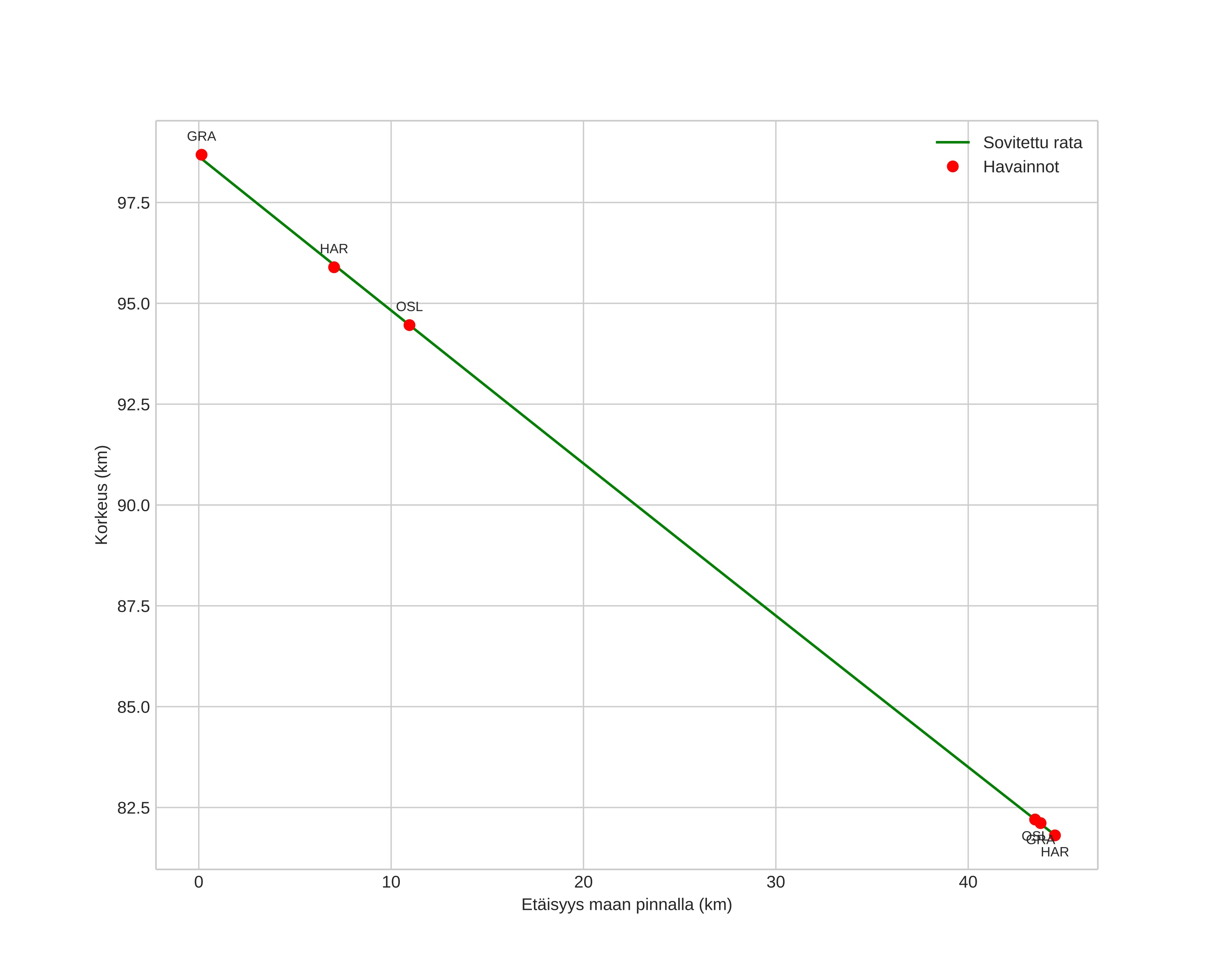
height profile
Meteorin ilmakehärata:
Alkukorkeus: 98,6 km
Loppukorkeus: 81,8 km
Alkupiste: 60,066N 10,473E
Loppupiste: 60,315N 9,843E
Suunta: 308,8°
Kallistuskulma: 20,7°
Tulonopeus: 36,5 km/s
Radiantin R,A,: 23:17 (349,4°)
Radiantin Dekl,: -1,1°
Meteoriparvi: Sporadinen
Meteoroidin rataelementit:
Perihelietäisyys: 0,327 AU
Eksentrisyys: 1,001
Inklinaatio: 4,6°
Nousevan solmun pituus: 160,3°
Perihelin argumentti: 290,6°
Keskianomalia: -0,0°
Epookki: 2017 SEP 02 20:38:59
orbit plot

Ei-interaktiivinen kuvaaja | Interaktiivinen kuvaaja

position vs time
speed and acceleration