🇳🇴 🇬🇧 🇩🇪 🇨🇿 🇫🇮

Meteor, poloha: Peterhead 2017-10-12 18:41:00 UTC

Soubor KML  |  InteraktivnĂ­ mapa

Mapa zobrazuje dráhy meteoru. Světlejší čáry ukazují směry od pozorovacích stanic při objevení se meteoru a tmavší čáry, kde byl naposledy viděn. Modrá šipka značí viditelnou dráhu meteoru.

static map
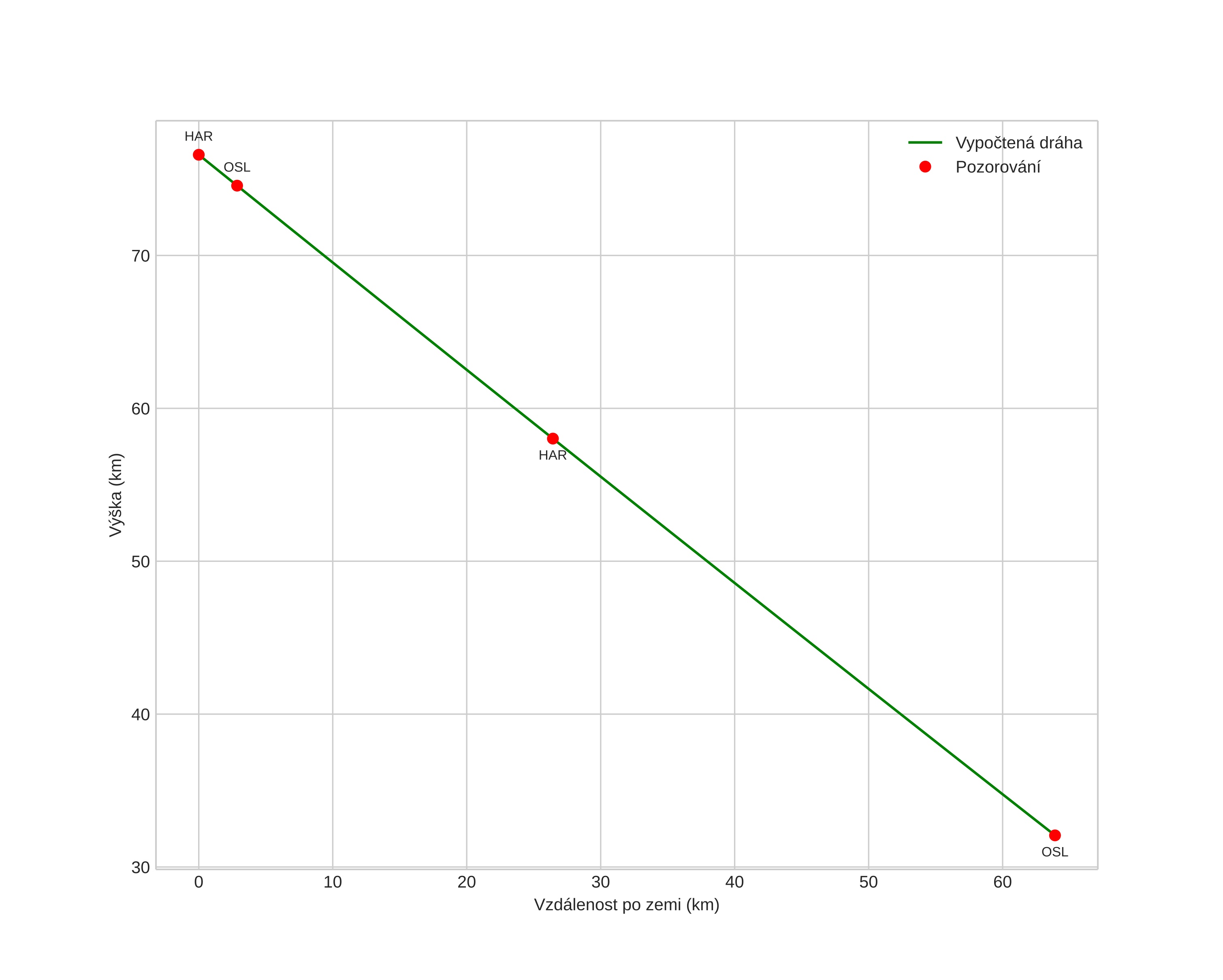
height profile
Atmosférická dráha meteoru:
Počáteční výška: 76,6 km
Konečná výška: 32,1 km
Počáteční poloha: 58,083N 2,480E
Konečná poloha: 57,970N 1,415E
Směr: 259,2°
Sklon: 34,8°
VstupnĂ­ rychlost: 19,7 km/s
Rektascenze radiantu: 01:43 (25,9°)
Deklinace radiantu: 30,2°
MeteorickĂ˝ roj: sporadickĂ˝
Elementy dráhy meteoroidu:
Vzdálenost v periheliu: 0,513 AU
Excentricita: 0,501
Sklon dráhy: 11,0°
Délka vzestupného uzlu: 199,4°
Argument perihelia: 297,1°
Střední anomálie: 302,0°
Epocha: 2017 OCT 12 18:41:00
orbit plot

NeinteraktivnĂ­ graf | InteraktivnĂ­ graf

position vs time
speed and acceleration