🇳🇴 🇬🇧 🇩🇪 🇨🇿 🇫🇮

Meteor Peterheadin yllä 2017-10-12 18:41:00 UTC

KML-tiedosto  |  Interaktiivinen kartta

Kartta näyttää meteorin suuntahavainnot. Vaaleammat viivat näyttävät suunnat havaintoasemilta meteorin ilmestyessä, ja tummemmat viivat näyttävät, missä se viimeksi nähtiin. Sininen nuoli näyttää meteorin näkyvän lennon.

static map
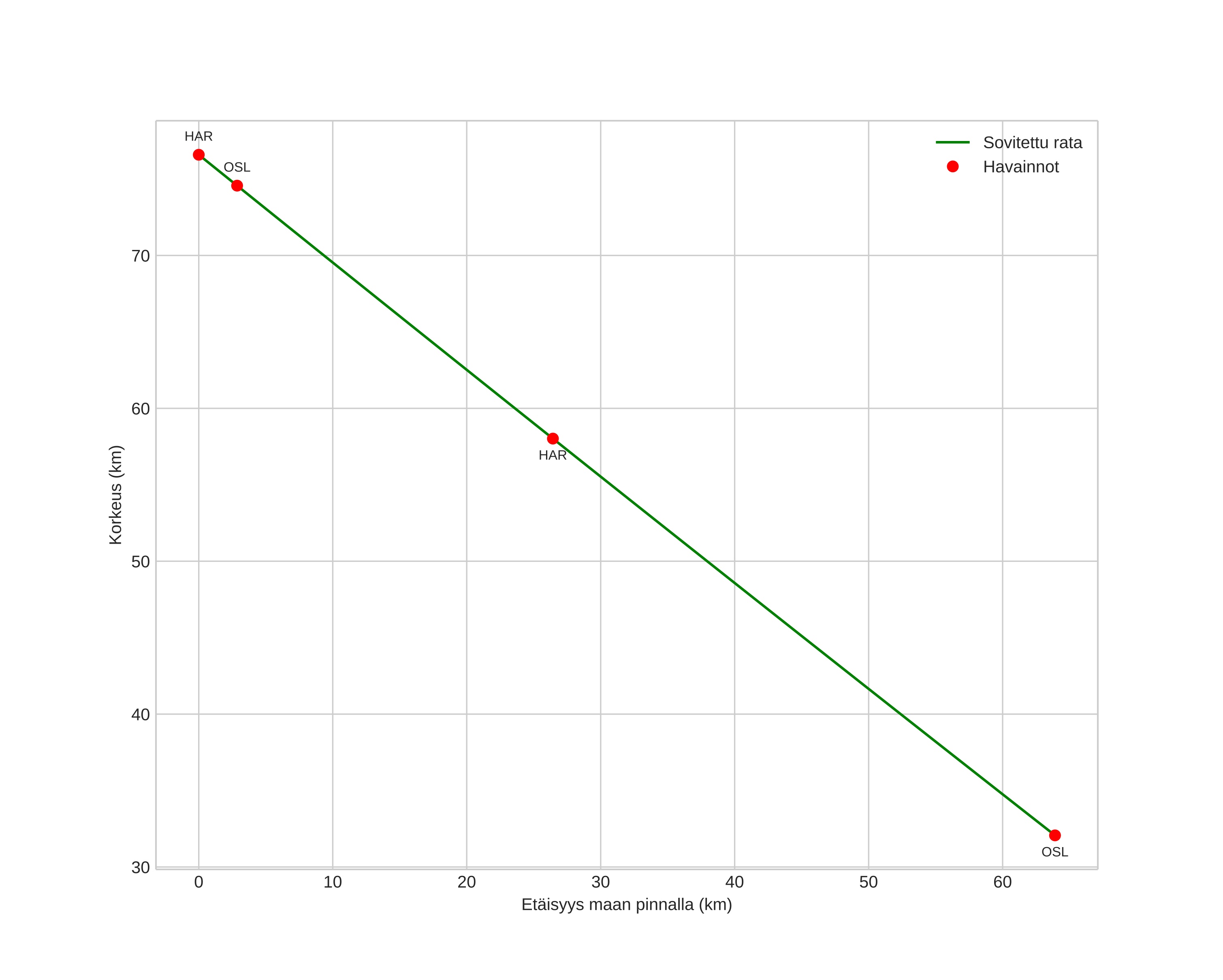
height profile
Meteorin ilmakehärata:
Alkukorkeus: 76,6 km
Loppukorkeus: 32,1 km
Alkupiste: 58,083N 2,480E
Loppupiste: 57,970N 1,415E
Suunta: 259,2°
Kallistuskulma: 34,8°
Tulonopeus: 19,7 km/s
Radiantin R,A,: 01:43 (25,9°)
Radiantin Dekl,: 30,2°
Meteoriparvi: Sporadinen
Meteoroidin rataelementit:
Perihelietäisyys: 0,513 AU
Eksentrisyys: 0,501
Inklinaatio: 11,0°
Nousevan solmun pituus: 199,4°
Perihelin argumentti: 297,1°
Keskianomalia: 302,0°
Epookki: 2017 OCT 12 18:41:00
orbit plot

Ei-interaktiivinen kuvaaja | Interaktiivinen kuvaaja

position vs time
speed and acceleration