🇳🇴 🇬🇧 🇩🇪 🇨🇿 🇫🇮

Meteor, poloha: Valle 2017-10-18 01:58:42 UTC

Soubor KML  |  InteraktivnĂ­ mapa

Mapa zobrazuje dráhy meteoru. Světlejší čáry ukazují směry od pozorovacích stanic při objevení se meteoru a tmavší čáry, kde byl naposledy viděn. Modrá šipka značí viditelnou dráhu meteoru.

static map
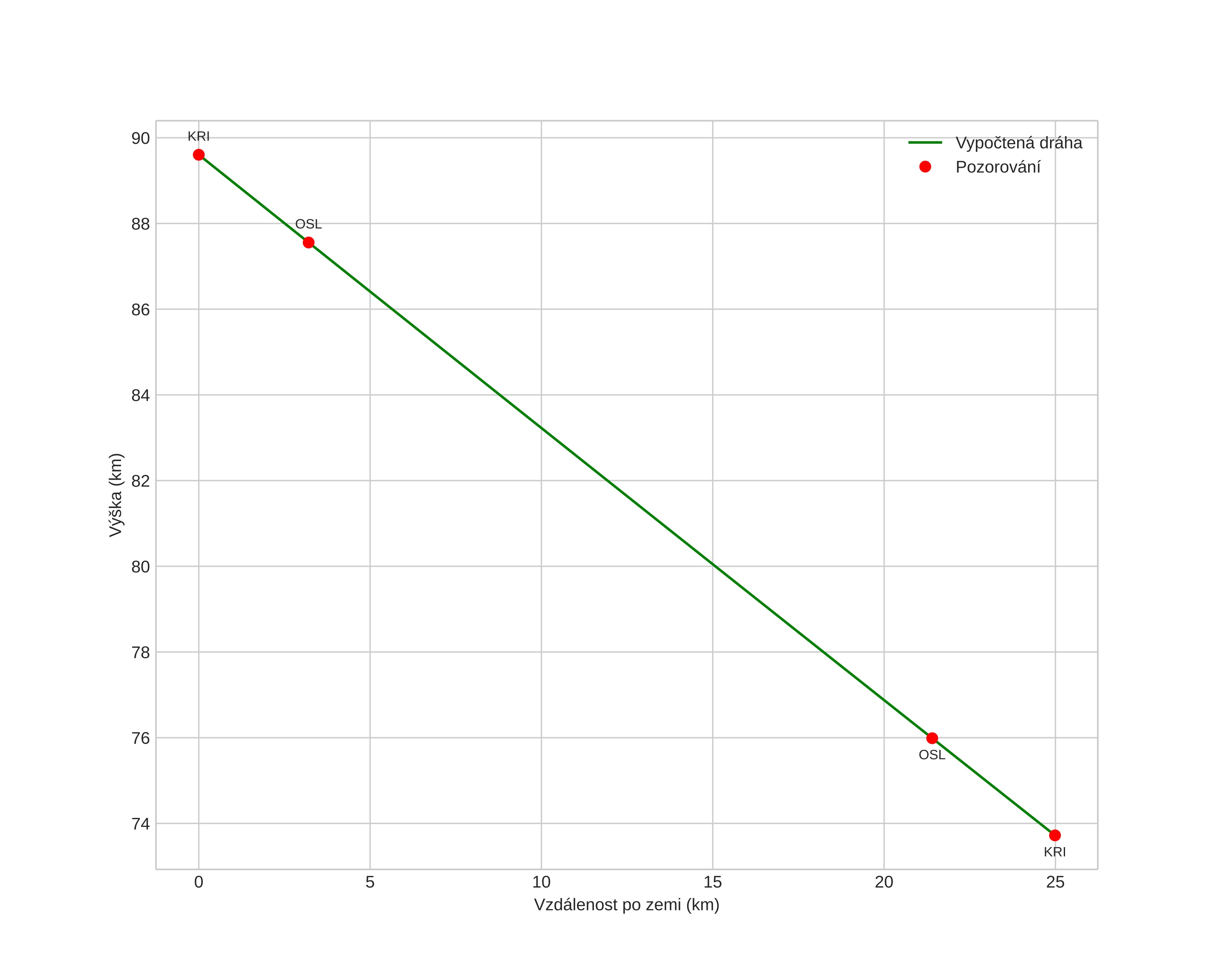
height profile
Atmosférická dráha meteoru:
Počáteční výška: 89,6 km
Konečná výška: 73,7 km
Počáteční poloha: 58,941N 7,220E
Konečná poloha: 59,092N 7,543E
Směr: 47,6°
Sklon: 32,5°
VstupnĂ­ rychlost: 24,9 km/s
Rektascenze radiantu: 01:29 (22,4°)
Deklinace radiantu: 6,2°
MeteorickĂ˝ roj: sporadickĂ˝
Elementy dráhy meteoroidu:
Vzdálenost v periheliu: 0,584 AU
Excentricita: 0,787
Sklon dráhy: 2,2°
Délka vzestupného uzlu: 24,7°
Argument perihelia: 86,5°
Střední anomálie: 350,5°
Epocha: 2017 OCT 18 01:58:42
orbit plot

NeinteraktivnĂ­ graf | InteraktivnĂ­ graf

position vs time
speed and acceleration