🇳🇴 🇬🇧 🇩🇪 🇨🇿 🇫🇮

Meteor Vallen yllä 2017-10-18 01:58:42 UTC

KML-tiedosto  |  Interaktiivinen kartta

Kartta näyttää meteorin suuntahavainnot. Vaaleammat viivat näyttävät suunnat havaintoasemilta meteorin ilmestyessä, ja tummemmat viivat näyttävät, missä se viimeksi nähtiin. Sininen nuoli näyttää meteorin näkyvän lennon.

static map
height profile
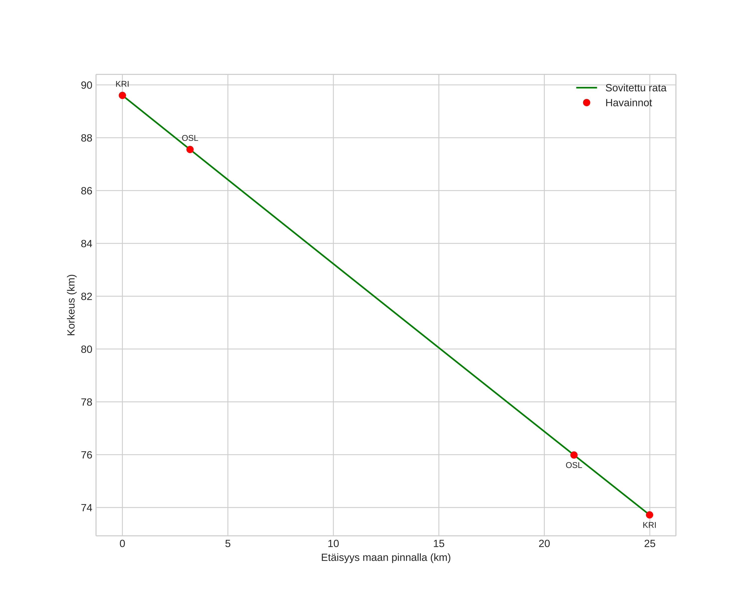
Meteorin ilmakehärata:
Alkukorkeus: 89,6 km
Loppukorkeus: 73,7 km
Alkupiste: 58,941N 7,220E
Loppupiste: 59,092N 7,543E
Suunta: 47,6°
Kallistuskulma: 32,5°
Tulonopeus: 24,9 km/s
Radiantin R,A,: 01:29 (22,4°)
Radiantin Dekl,: 6,2°
Meteoriparvi: Sporadinen
Meteoroidin rataelementit:
Perihelietäisyys: 0,584 AU
Eksentrisyys: 0,787
Inklinaatio: 2,2°
Nousevan solmun pituus: 24,7°
Perihelin argumentti: 86,5°
Keskianomalia: 350,5°
Epookki: 2017 OCT 18 01:58:42
orbit plot

Ei-interaktiivinen kuvaaja | Interaktiivinen kuvaaja

position vs time
speed and acceleration