🇳🇴 🇬🇧 🇩🇪 🇨🇿 🇫🇮

Meteor, poloha: Dokka 2017-10-18 02:31:59 UTC

Soubor KML  |  InteraktivnĂ­ mapa

Mapa zobrazuje dráhy meteoru. Světlejší čáry ukazují směry od pozorovacích stanic při objevení se meteoru a tmavší čáry, kde byl naposledy viděn. Modrá šipka značí viditelnou dráhu meteoru.

static map
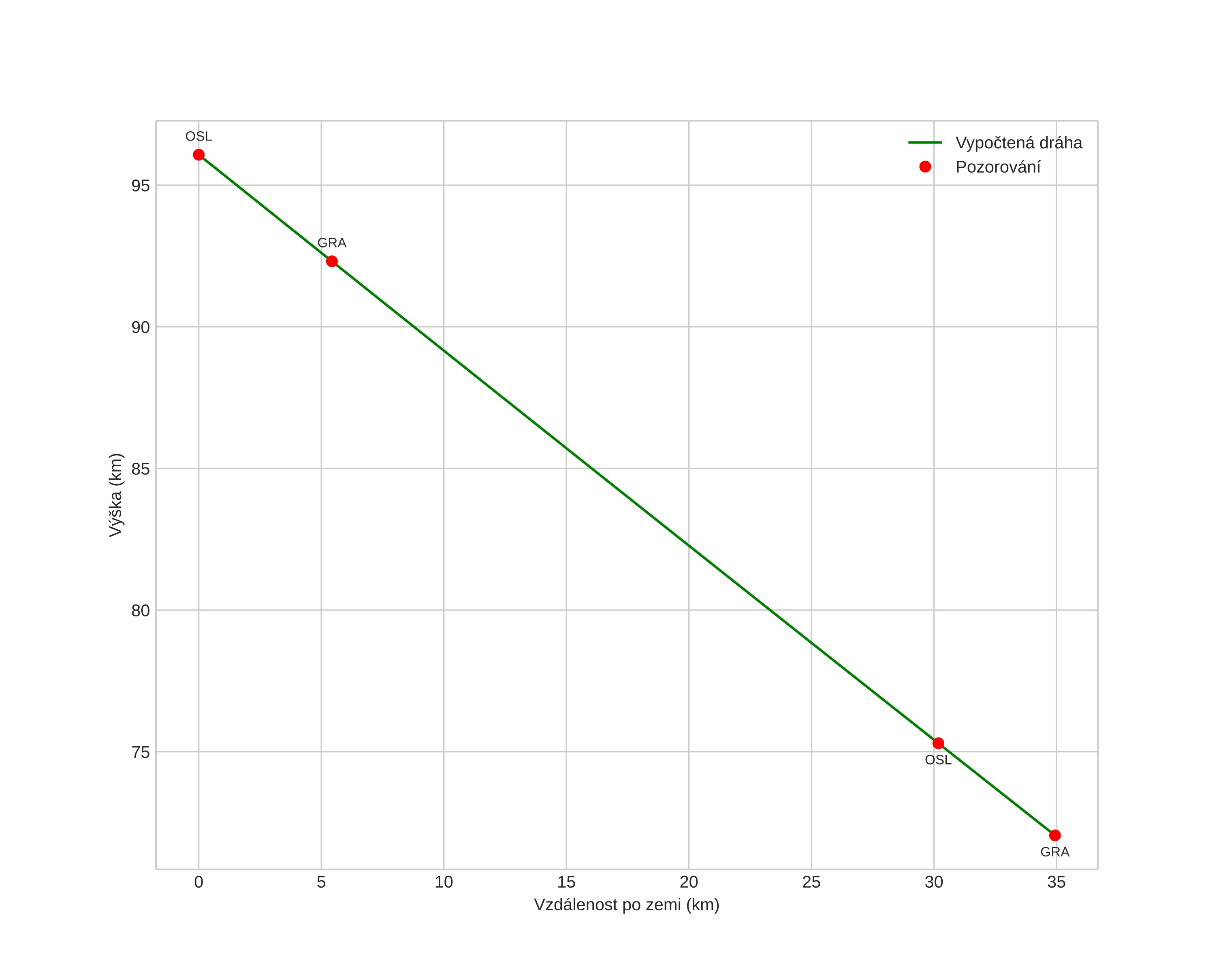
height profile
Atmosférická dráha meteoru:
Počáteční výška: 96,1 km
Konečná výška: 72,0 km
Počáteční poloha: 60,753N 9,554E
Konečná poloha: 60,992N 9,972E
Směr: 40,2°
Sklon: 34,6°
VstupnĂ­ rychlost: 29,7 km/s
Rektascenze radiantu: 02:40 (40,2°)
Deklinace radiantu: 8,6°
MeteorickĂ˝ roj: JiĹľnĂ­ Tauridy
Elementy dráhy meteoroidu:
Vzdálenost v periheliu: 0,318 AU
Excentricita: 0,806
Sklon dráhy: 8,2°
Délka vzestupného uzlu: 24,7°
Argument perihelia: 121,7°
Střední anomálie: 339,5°
Epocha: 2017 OCT 18 02:31:59
orbit plot

NeinteraktivnĂ­ graf | InteraktivnĂ­ graf

position vs time
speed and acceleration