🇳🇴 🇬🇧 🇩🇪 🇨🇿 🇫🇮

Meteor Dokkan yllä 2017-10-18 02:31:59 UTC

KML-tiedosto  |  Interaktiivinen kartta

Kartta näyttää meteorin suuntahavainnot. Vaaleammat viivat näyttävät suunnat havaintoasemilta meteorin ilmestyessä, ja tummemmat viivat näyttävät, missä se viimeksi nähtiin. Sininen nuoli näyttää meteorin näkyvän lennon.

static map
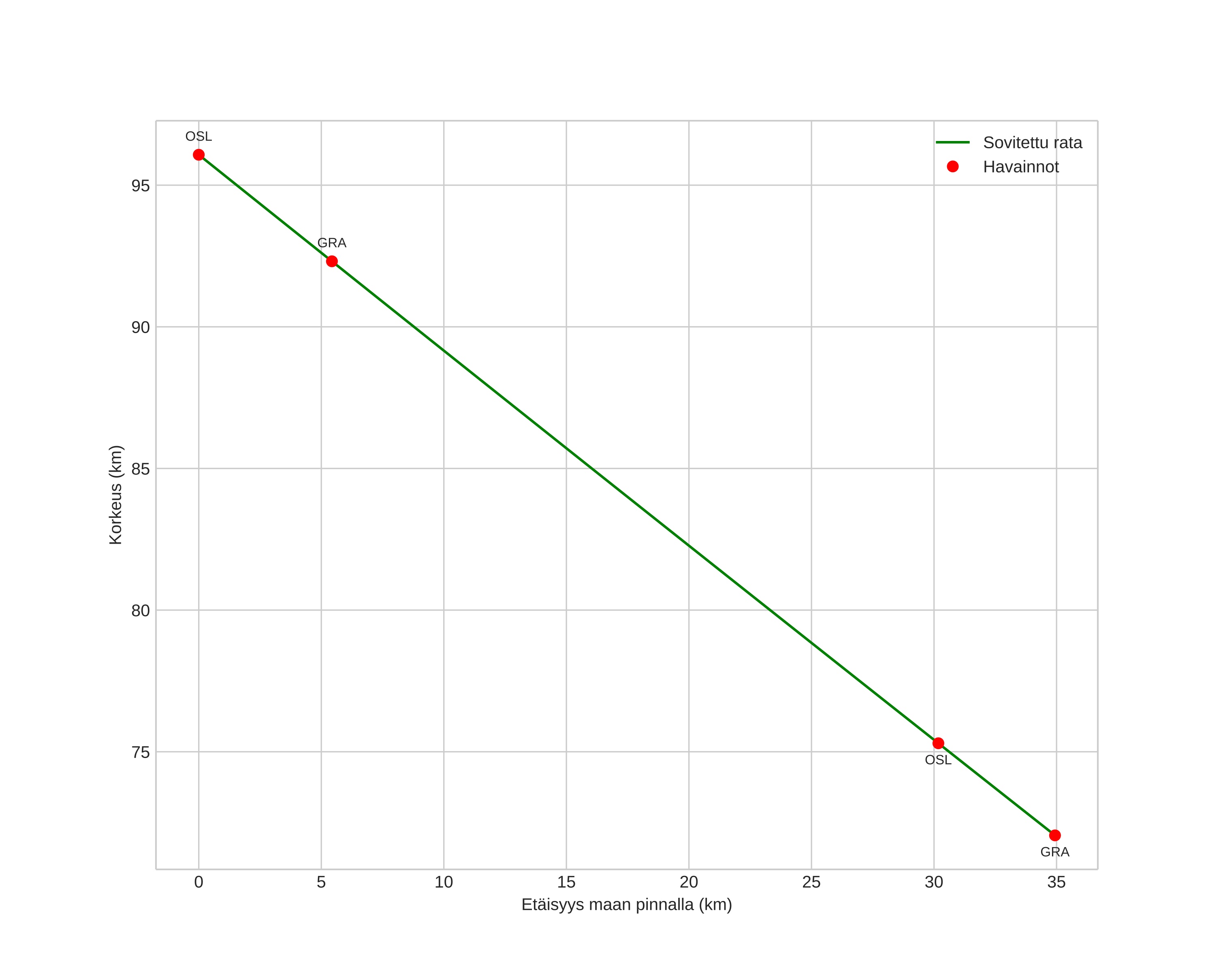
height profile
Meteorin ilmakehärata:
Alkukorkeus: 96,1 km
Loppukorkeus: 72,0 km
Alkupiste: 60,753N 9,554E
Loppupiste: 60,992N 9,972E
Suunta: 40,2°
Kallistuskulma: 34,6°
Tulonopeus: 29,7 km/s
Radiantin R,A,: 02:40 (40,2°)
Radiantin Dekl,: 8,6°
Meteoriparvi: Eteläiset tauridit
Meteoroidin rataelementit:
Perihelietäisyys: 0,318 AU
Eksentrisyys: 0,806
Inklinaatio: 8,2°
Nousevan solmun pituus: 24,7°
Perihelin argumentti: 121,7°
Keskianomalia: 339,5°
Epookki: 2017 OCT 18 02:31:59
orbit plot

Ei-interaktiivinen kuvaaja | Interaktiivinen kuvaaja

position vs time
speed and acceleration