🇳🇴 🇬🇧 🇩🇪 🇨🇿 🇫🇮

Meteor, poloha: Thyborøn 2017-10-18 23:02:34 UTC

Soubor KML  |  InteraktivnĂ­ mapa

Mapa zobrazuje dráhy meteoru. Světlejší čáry ukazují směry od pozorovacích stanic při objevení se meteoru a tmavší čáry, kde byl naposledy viděn. Modrá šipka značí viditelnou dráhu meteoru.

static map
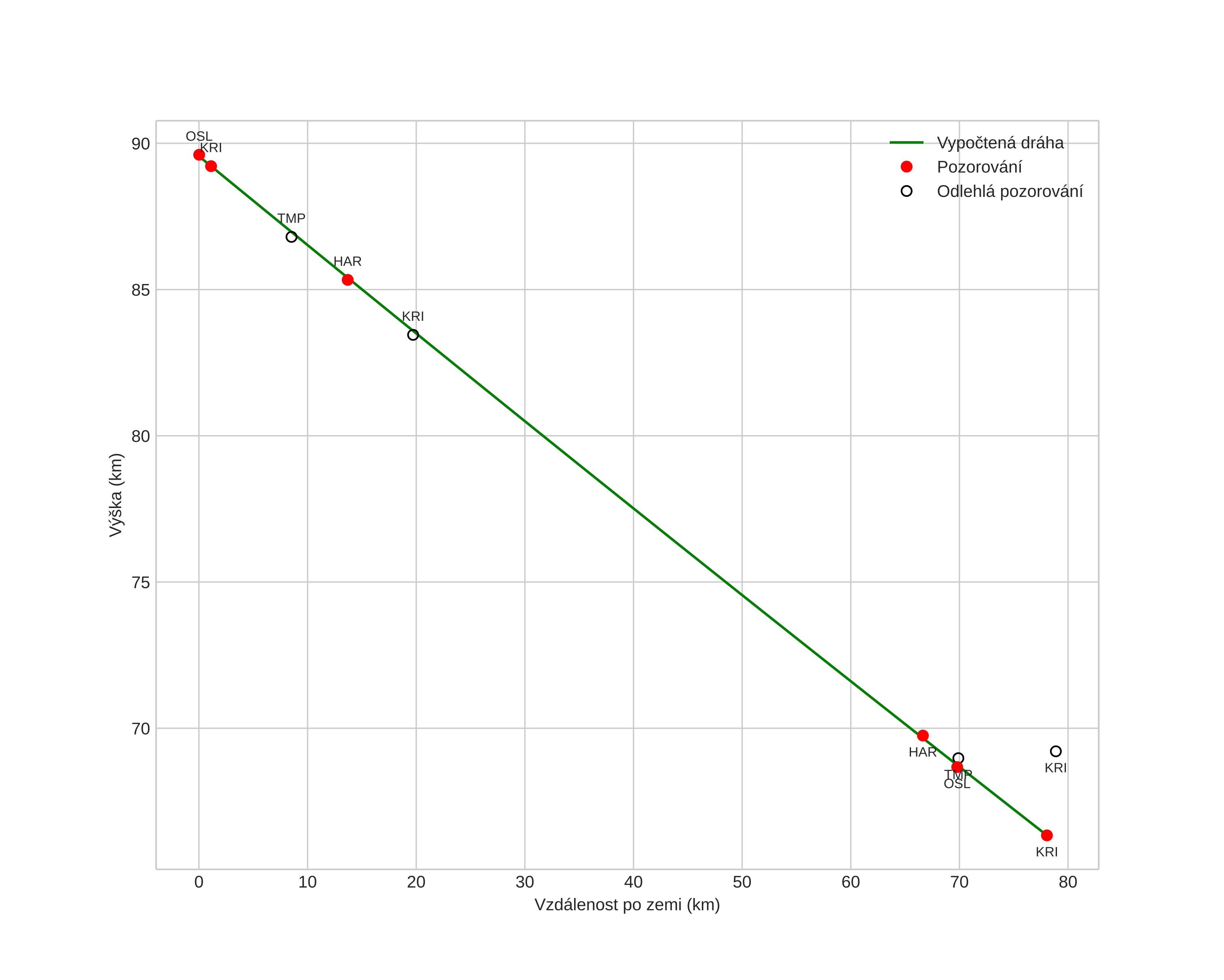
height profile
Atmosférická dráha meteoru:
Počáteční výška: 89,6 km
Konečná výška: 66,3 km
Počáteční poloha: 57,515N 6,817E
Konečná poloha: 56,994N 7,687E
Směr: 137,5°
Sklon: 16,6°
VstupnĂ­ rychlost: 20,3 km/s
Rektascenze radiantu: 16:47 (252,0°)
Deklinace radiantu: 31,4°
MeteorickĂ˝ roj: sporadickĂ˝
Elementy dráhy meteoroidu:
Vzdálenost v periheliu: 0,954 AU
Excentricita: 0,766
Sklon dráhy: 20,7°
Délka vzestupného uzlu: 205,5°
Argument perihelia: 154,4°
Střední anomálie: 2,2°
Epocha: 2017 OCT 18 23:02:34
orbit plot

NeinteraktivnĂ­ graf | InteraktivnĂ­ graf

position vs time
speed and acceleration