🇳🇴 🇬🇧 🇩🇪 🇨🇿 🇫🇮

Meteor Thyborønin yllä 2017-10-18 23:02:34 UTC

KML-tiedosto  |  Interaktiivinen kartta

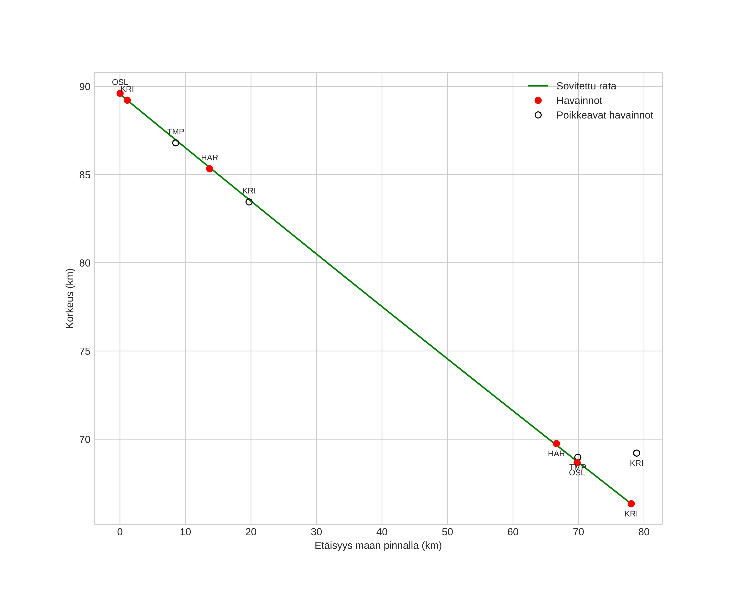
Kartta näyttää meteorin suuntahavainnot. Vaaleammat viivat näyttävät suunnat havaintoasemilta meteorin ilmestyessä, ja tummemmat viivat näyttävät, missä se viimeksi nähtiin. Sininen nuoli näyttää meteorin näkyvän lennon.

static map
height profile
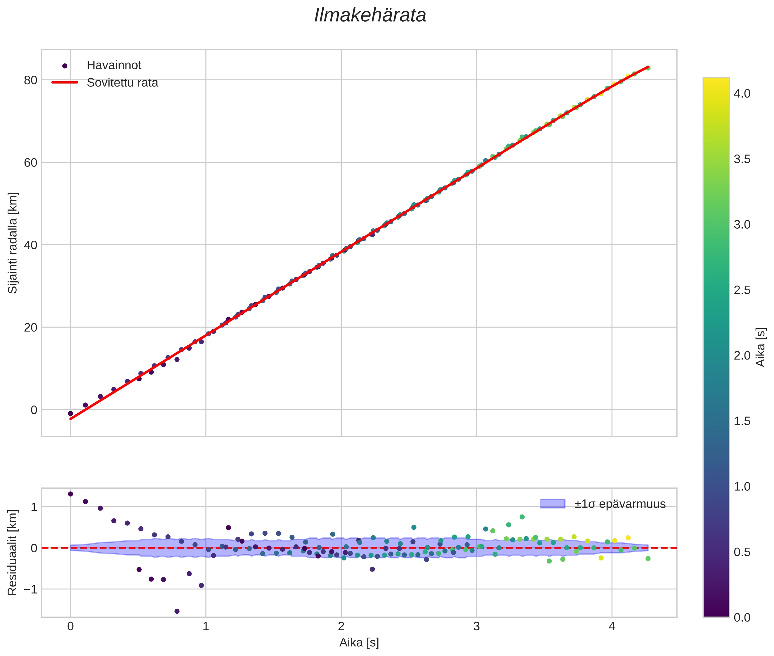
Meteorin ilmakehärata:
Alkukorkeus: 89,6 km
Loppukorkeus: 66,3 km
Alkupiste: 57,515N 6,817E
Loppupiste: 56,994N 7,687E
Suunta: 137,5°
Kallistuskulma: 16,6°
Tulonopeus: 20,3 km/s
Radiantin R,A,: 16:47 (252,0°)
Radiantin Dekl,: 31,4°
Meteoriparvi: Sporadinen
Meteoroidin rataelementit:
Perihelietäisyys: 0,954 AU
Eksentrisyys: 0,766
Inklinaatio: 20,7°
Nousevan solmun pituus: 205,5°
Perihelin argumentti: 154,4°
Keskianomalia: 2,2°
Epookki: 2017 OCT 18 23:02:34
orbit plot

Ei-interaktiivinen kuvaaja | Interaktiivinen kuvaaja

position vs time
speed and acceleration