🇳🇴 🇬🇧 🇩🇪 🇨🇿 🇫🇮

Meteor, poloha: Lind 2017-10-26 22:54:45 UTC

Soubor KML  |  InteraktivnĂ­ mapa

Mapa zobrazuje dráhy meteoru. Světlejší čáry ukazují směry od pozorovacích stanic při objevení se meteoru a tmavší čáry, kde byl naposledy viděn. Modrá šipka značí viditelnou dráhu meteoru.

static map
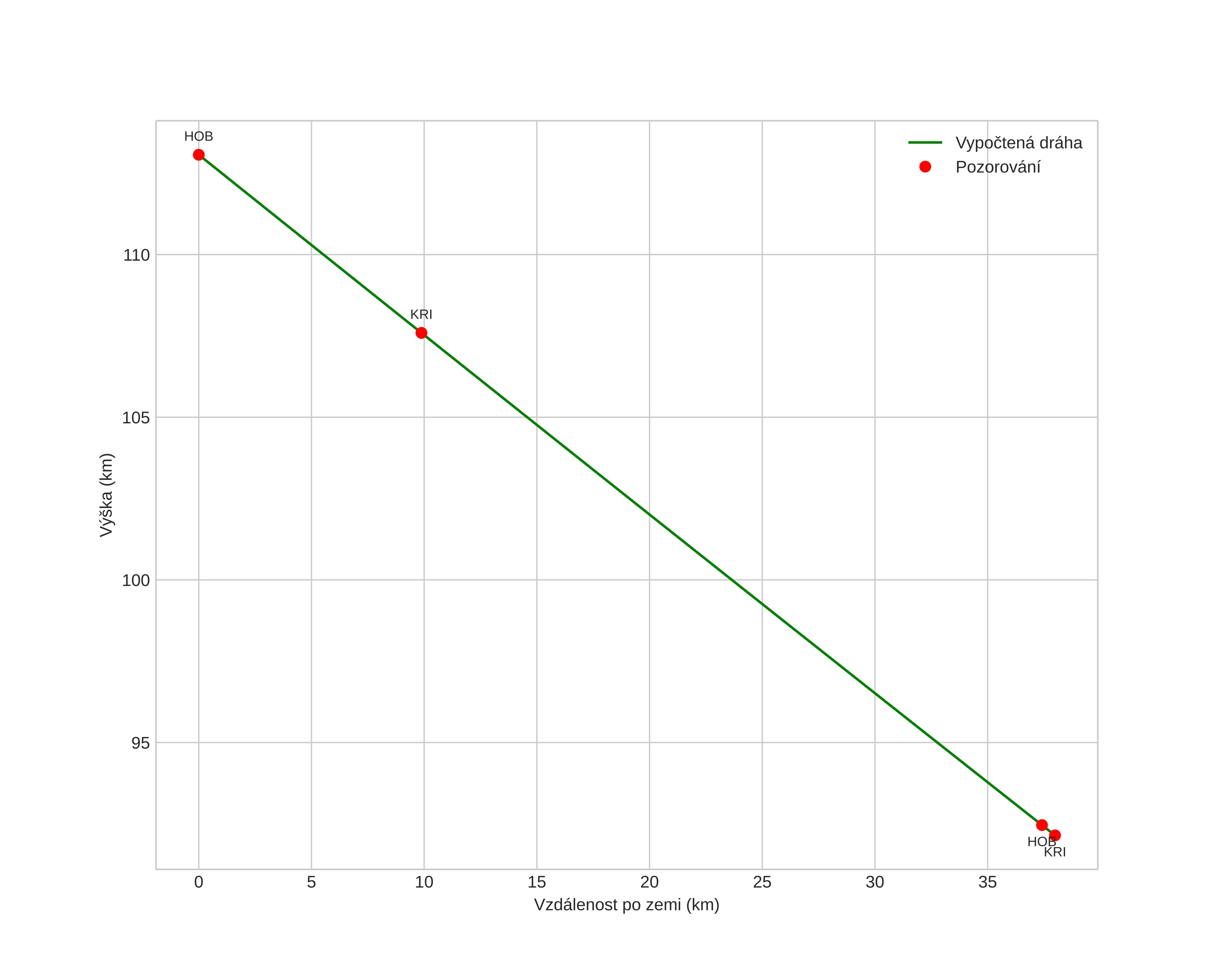
height profile
Atmosférická dráha meteoru:
Počáteční výška: 113,1 km
Konečná výška: 92,1 km
Počáteční poloha: 55,990N 9,546E
Konečná poloha: 56,103N 8,968E
Směr: 289,5°
Sklon: 28,9°
VstupnĂ­ rychlost: 63,3 km/s
Rektascenze radiantu: 05:46 (86,6°)
Deklinace radiantu: 13,3°
MeteorickĂ˝ roj: sporadickĂ˝
Elementy dráhy meteoroidu:
Vzdálenost v periheliu: 0,265 AU
Excentricita: 1,022
Sklon dráhy: 150,2°
Délka vzestupného uzlu: 33,5°
Argument perihelia: 116,8°
Střední anomálie: -0,8°
Epocha: 2017 OCT 26 22:54:45
orbit plot

NeinteraktivnĂ­ graf | InteraktivnĂ­ graf

position vs time
speed and acceleration