🇳🇴 🇬🇧 🇩🇪 🇨🇿 🇫🇮

Meteor Lindin yllä 2017-10-26 22:54:45 UTC

KML-tiedosto  |  Interaktiivinen kartta

Kartta näyttää meteorin suuntahavainnot. Vaaleammat viivat näyttävät suunnat havaintoasemilta meteorin ilmestyessä, ja tummemmat viivat näyttävät, missä se viimeksi nähtiin. Sininen nuoli näyttää meteorin näkyvän lennon.

static map
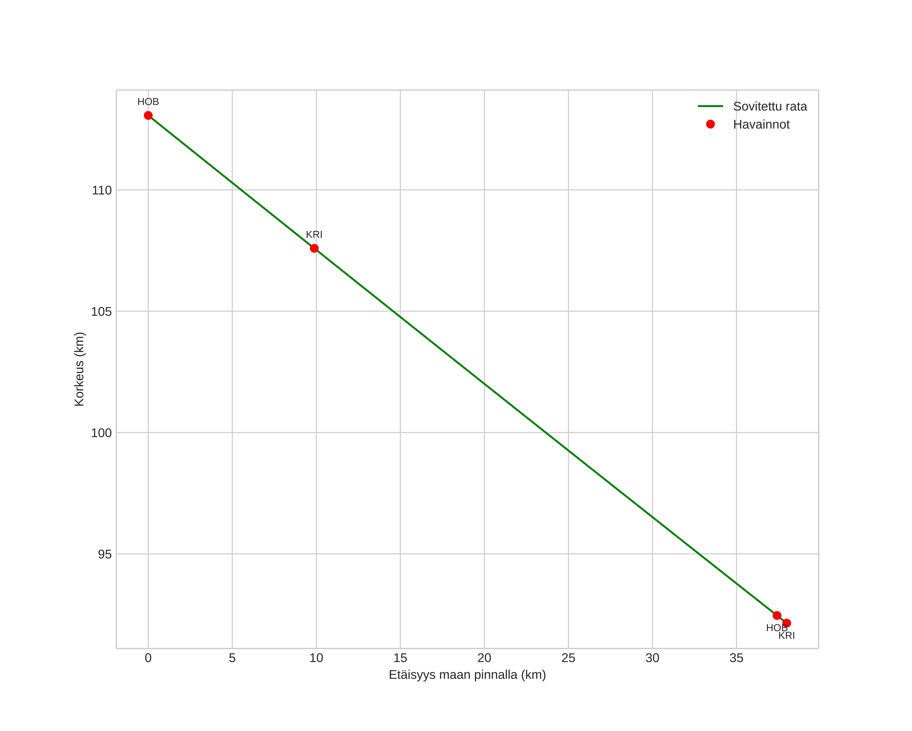
height profile
Meteorin ilmakehärata:
Alkukorkeus: 113,1 km
Loppukorkeus: 92,1 km
Alkupiste: 55,990N 9,546E
Loppupiste: 56,103N 8,968E
Suunta: 289,5°
Kallistuskulma: 28,9°
Tulonopeus: 63,3 km/s
Radiantin R,A,: 05:46 (86,6°)
Radiantin Dekl,: 13,3°
Meteoriparvi: Sporadinen
Meteoroidin rataelementit:
Perihelietäisyys: 0,265 AU
Eksentrisyys: 1,022
Inklinaatio: 150,2°
Nousevan solmun pituus: 33,5°
Perihelin argumentti: 116,8°
Keskianomalia: -0,8°
Epookki: 2017 OCT 26 22:54:45
orbit plot

Ei-interaktiivinen kuvaaja | Interaktiivinen kuvaaja

position vs time
speed and acceleration