🇳🇴 🇬🇧 🇩🇪 🇨🇿 🇫🇮

Meteor, poloha: Løkken 2017-10-28 05:12:16 UTC

Soubor KML  |  InteraktivnĂ­ mapa

Mapa zobrazuje dráhy meteoru. Světlejší čáry ukazují směry od pozorovacích stanic při objevení se meteoru a tmavší čáry, kde byl naposledy viděn. Modrá šipka značí viditelnou dráhu meteoru.

static map
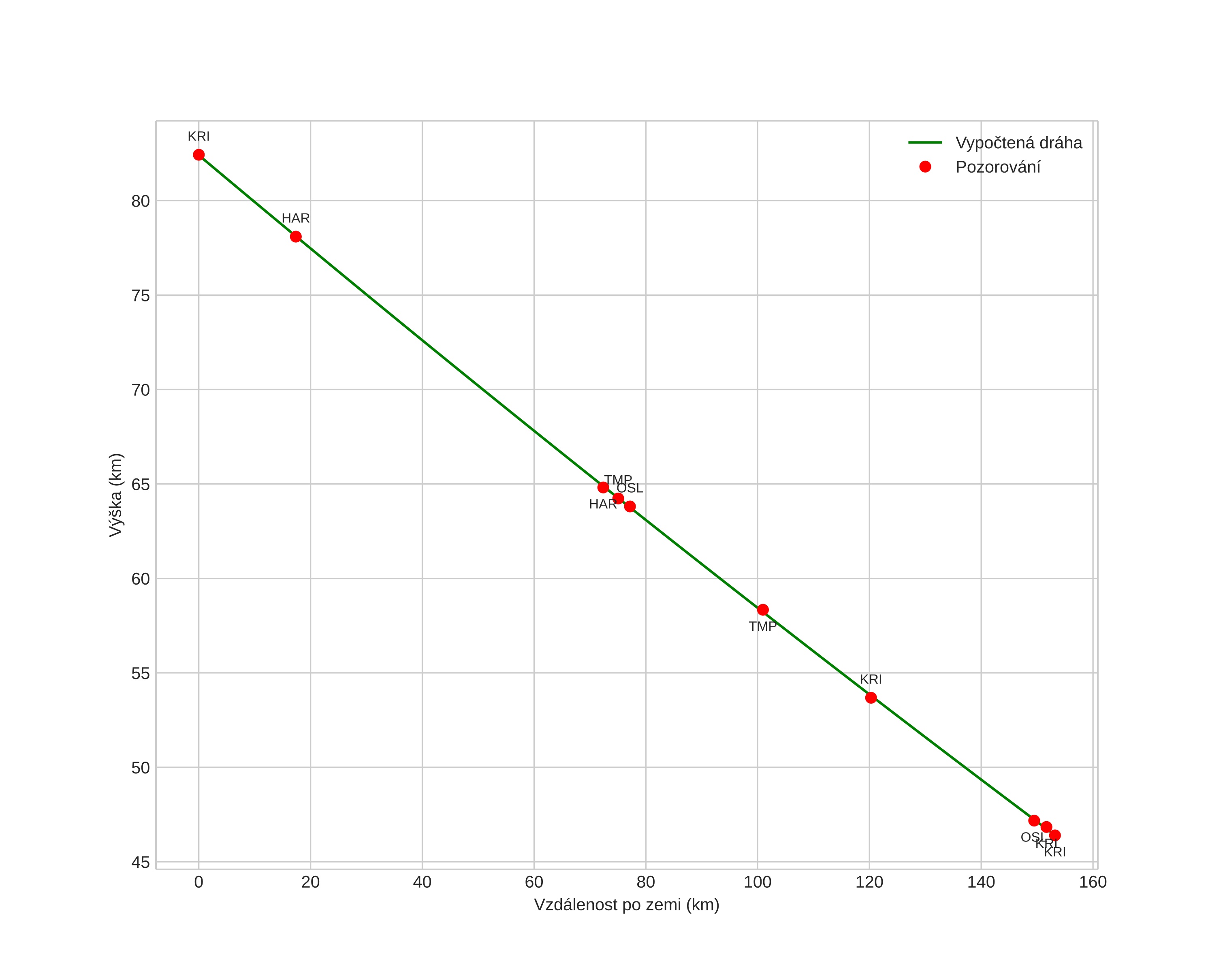
height profile
Atmosférická dráha meteoru:
Počáteční výška: 82,4 km
Konečná výška: 46,4 km
Počáteční poloha: 58,379N 11,480E
Konečná poloha: 57,441N 9,582E
Směr: 227,9°
Sklon: 13,2°
VstupnĂ­ rychlost: 16,2 km/s
Rektascenze radiantu: 16:59 (254,8°)
Deklinace radiantu: 19,8°
MeteorickĂ˝ roj: sporadickĂ˝
Elementy dráhy meteoroidu:
Vzdálenost v periheliu: 0,946 AU
Excentricita: 0,511
Sklon dráhy: 12,6°
Délka vzestupného uzlu: 214,7°
Argument perihelia: 149,3°
Střední anomálie: 8,8°
Epocha: 2017 OCT 28 05:12:16
orbit plot

NeinteraktivnĂ­ graf | InteraktivnĂ­ graf

position vs time
speed and acceleration