🇳🇴 🇬🇧 🇩🇪 🇨🇿 🇫🇮

Meteor Løkkenin yllä 2017-10-28 05:12:16 UTC

KML-tiedosto  |  Interaktiivinen kartta

Kartta näyttää meteorin suuntahavainnot. Vaaleammat viivat näyttävät suunnat havaintoasemilta meteorin ilmestyessä, ja tummemmat viivat näyttävät, missä se viimeksi nähtiin. Sininen nuoli näyttää meteorin näkyvän lennon.

static map
height profile
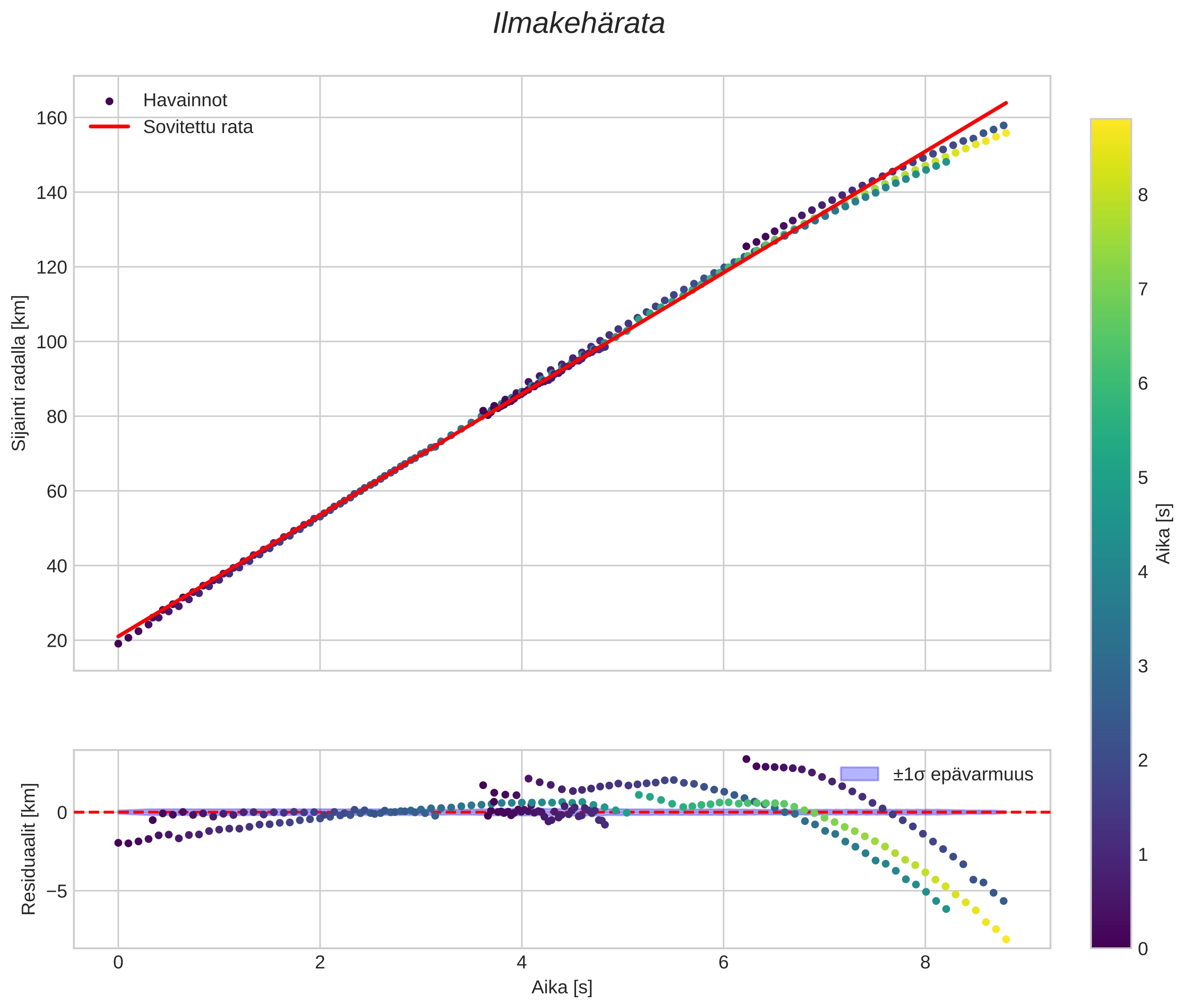
Meteorin ilmakehärata:
Alkukorkeus: 82,4 km
Loppukorkeus: 46,4 km
Alkupiste: 58,379N 11,480E
Loppupiste: 57,441N 9,582E
Suunta: 227,9°
Kallistuskulma: 13,2°
Tulonopeus: 16,2 km/s
Radiantin R,A,: 16:59 (254,8°)
Radiantin Dekl,: 19,8°
Meteoriparvi: Sporadinen
Meteoroidin rataelementit:
Perihelietäisyys: 0,946 AU
Eksentrisyys: 0,511
Inklinaatio: 12,6°
Nousevan solmun pituus: 214,7°
Perihelin argumentti: 149,3°
Keskianomalia: 8,8°
Epookki: 2017 OCT 28 05:12:16
orbit plot

Ei-interaktiivinen kuvaaja | Interaktiivinen kuvaaja

position vs time
speed and acceleration