🇳🇴 🇬🇧 🇩🇪 🇨🇿 🇫🇮

Meteor, poloha: Malmslätt 2017-10-30 00:04:01 UTC

Soubor KML  |  InteraktivnĂ­ mapa

Mapa zobrazuje dráhy meteoru. Světlejší čáry ukazují směry od pozorovacích stanic při objevení se meteoru a tmavší čáry, kde byl naposledy viděn. Modrá šipka značí viditelnou dráhu meteoru.

static map
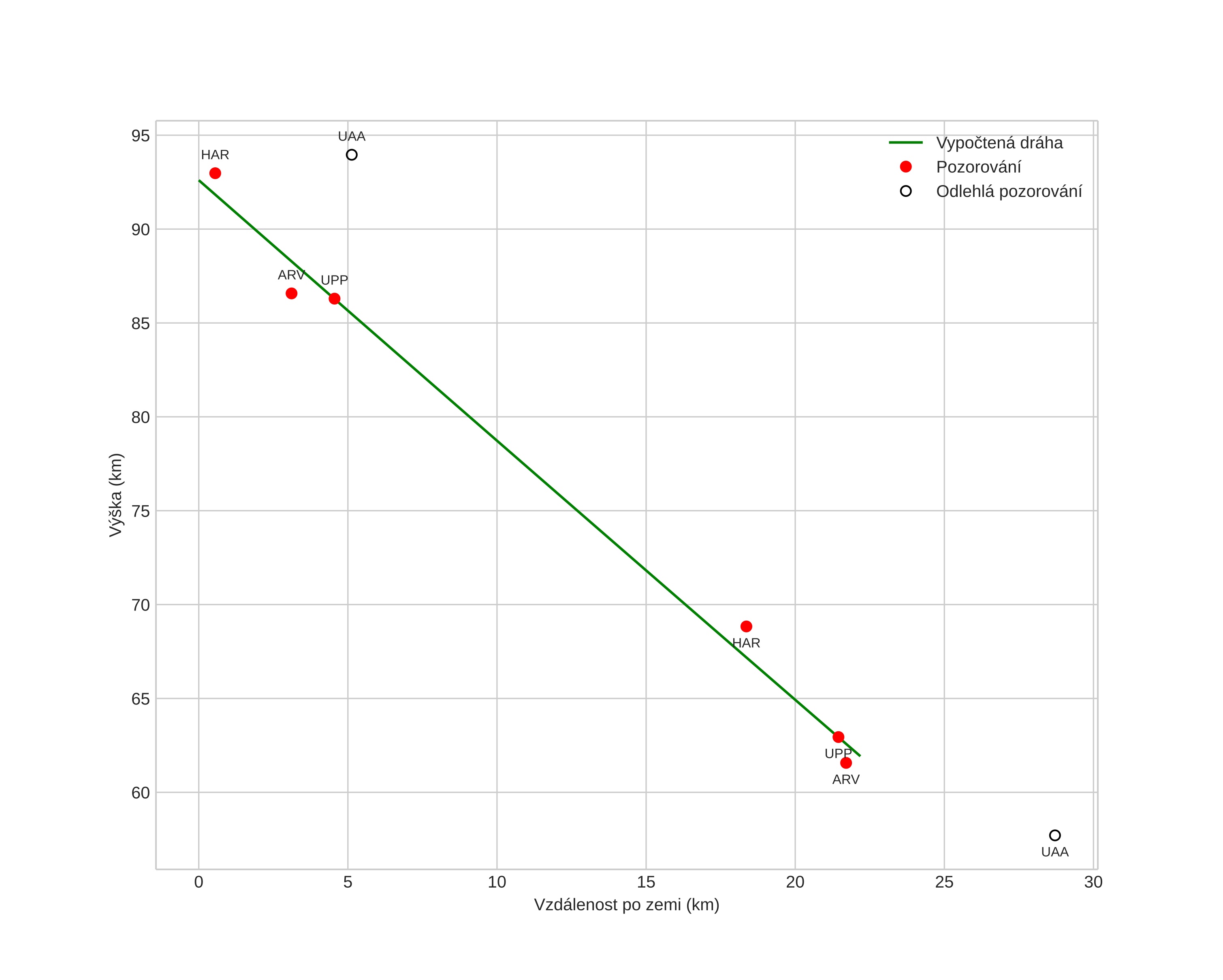
height profile
Atmosférická dráha meteoru:
Počáteční výška: 92,6 km
Konečná výška: 61,9 km
Počáteční poloha: 58,211N 15,479E
Konečná poloha: 58,409N 15,517E
Směr: 5,6°
Sklon: 54,1°
VstupnĂ­ rychlost: 33,3 km/s
Rektascenze radiantu: 03:22 (50,6°)
Deklinace radiantu: 21,2°
MeteorickĂ˝ roj: SevernĂ­ Tauridy
Elementy dráhy meteoroidu:
Vzdálenost v periheliu: 0,256 AU
Excentricita: 0,876
Sklon dráhy: 3,9°
Délka vzestupného uzlu: 216,5°
Argument perihelia: 306,1°
Střední anomálie: 346,8°
Epocha: 2017 OCT 30 00:04:01
orbit plot

NeinteraktivnĂ­ graf | InteraktivnĂ­ graf

position vs time
speed and acceleration