🇳🇴 🇬🇧 🇩🇪 🇨🇿 🇫🇮

Meteor Malmslättin yllä 2017-10-30 00:04:01 UTC

KML-tiedosto  |  Interaktiivinen kartta

Kartta näyttää meteorin suuntahavainnot. Vaaleammat viivat näyttävät suunnat havaintoasemilta meteorin ilmestyessä, ja tummemmat viivat näyttävät, missä se viimeksi nähtiin. Sininen nuoli näyttää meteorin näkyvän lennon.

static map
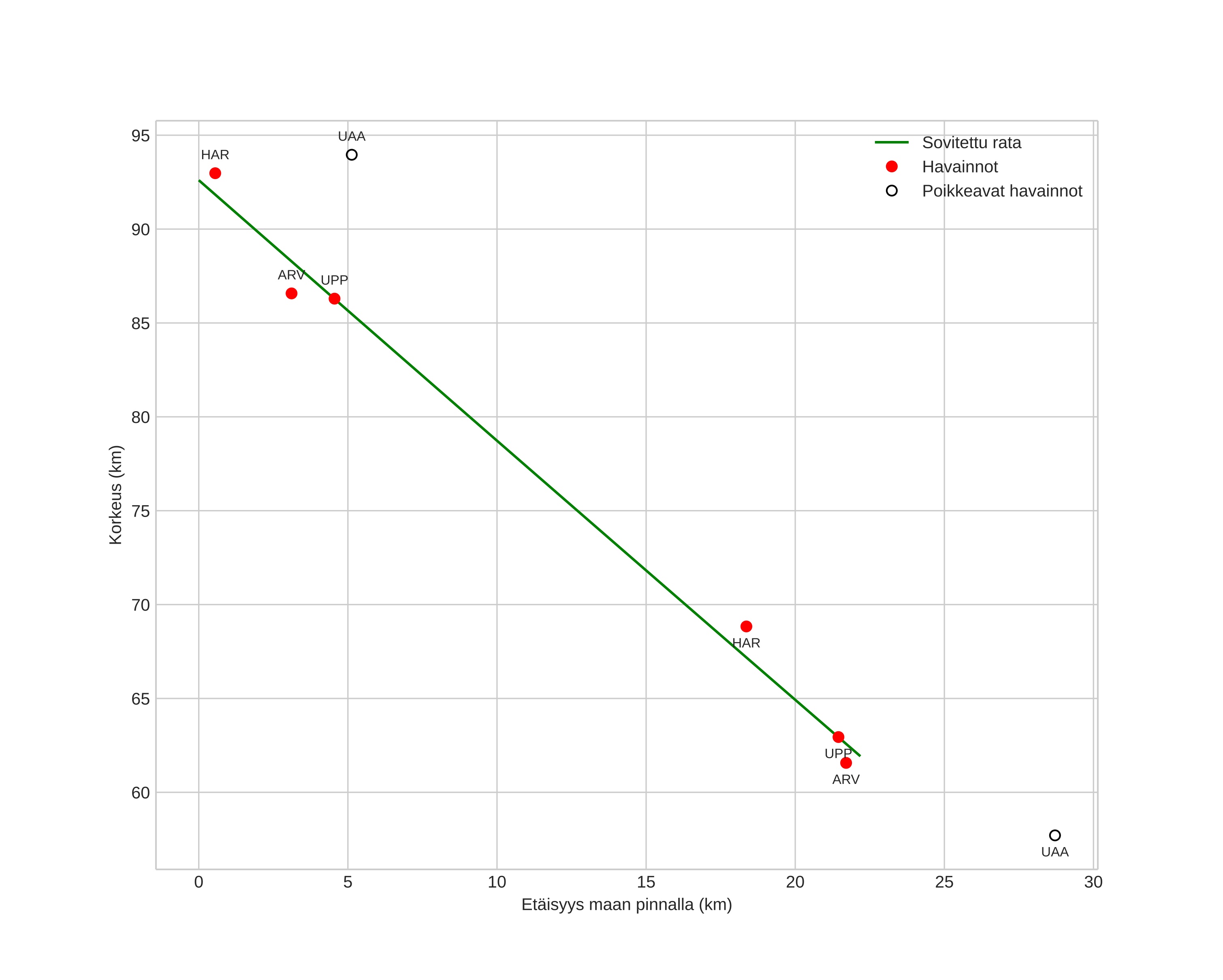
height profile
Meteorin ilmakehärata:
Alkukorkeus: 92,6 km
Loppukorkeus: 61,9 km
Alkupiste: 58,211N 15,479E
Loppupiste: 58,409N 15,517E
Suunta: 5,6°
Kallistuskulma: 54,1°
Tulonopeus: 33,3 km/s
Radiantin R,A,: 03:22 (50,6°)
Radiantin Dekl,: 21,2°
Meteoriparvi: Pohjoiset tauridit
Meteoroidin rataelementit:
Perihelietäisyys: 0,256 AU
Eksentrisyys: 0,876
Inklinaatio: 3,9°
Nousevan solmun pituus: 216,5°
Perihelin argumentti: 306,1°
Keskianomalia: 346,8°
Epookki: 2017 OCT 30 00:04:01
orbit plot

Ei-interaktiivinen kuvaaja | Interaktiivinen kuvaaja

position vs time
speed and acceleration