🇳🇴 🇬🇧 🇩🇪 🇨🇿 🇫🇮

Meteor, poloha: Jevnaker 2017-11-06 20:07:56 UTC

Soubor KML  |  InteraktivnĂ­ mapa

Mapa zobrazuje dráhy meteoru. Světlejší čáry ukazují směry od pozorovacích stanic při objevení se meteoru a tmavší čáry, kde byl naposledy viděn. Modrá šipka značí viditelnou dráhu meteoru.

static map
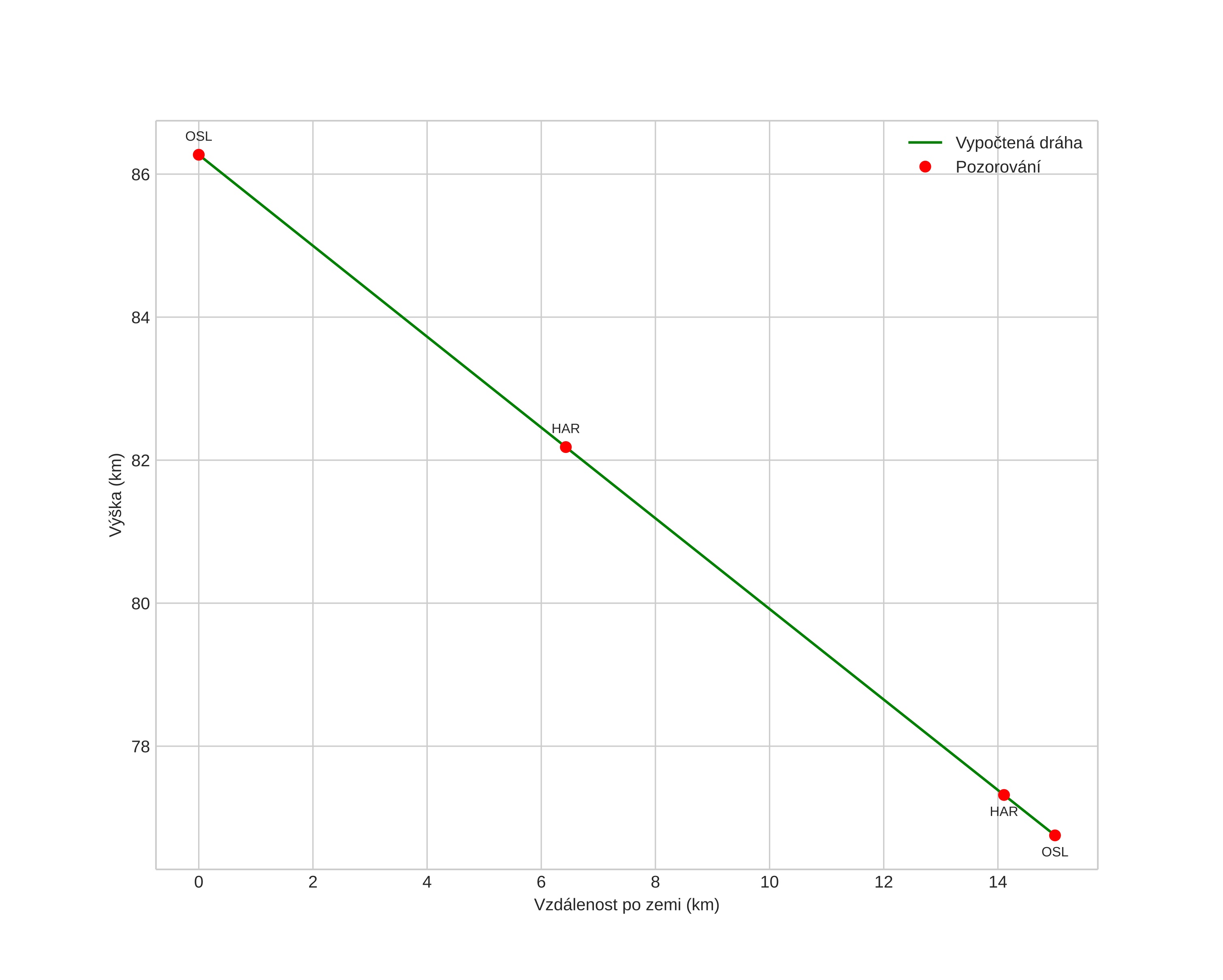
height profile
Atmosférická dráha meteoru:
Počáteční výška: 86,3 km
Konečná výška: 76,8 km
Počáteční poloha: 60,308N 10,586E
Konečná poloha: 60,369N 10,343E
Směr: 297,0°
Sklon: 32,3°
VstupnĂ­ rychlost: 27,7 km/s
Rektascenze radiantu: 03:23 (51,0°)
Deklinace radiantu: 13,5°
MeteorickĂ˝ roj: JiĹľnĂ­ Tauridy
Elementy dráhy meteoroidu:
Vzdálenost v periheliu: 0,445 AU
Excentricita: 0,781
Sklon dráhy: 4,7°
Délka vzestupného uzlu: 44,4°
Argument perihelia: 104,8°
Střední anomálie: 344,7°
Epocha: 2017 NOV 06 20:07:56
orbit plot

NeinteraktivnĂ­ graf | InteraktivnĂ­ graf

position vs time
speed and acceleration