🇳🇴 🇬🇧 🇩🇪 🇨🇿 🇫🇮

Meteor Jevnakerin yllä 2017-11-06 20:07:56 UTC

KML-tiedosto  |  Interaktiivinen kartta

Kartta näyttää meteorin suuntahavainnot. Vaaleammat viivat näyttävät suunnat havaintoasemilta meteorin ilmestyessä, ja tummemmat viivat näyttävät, missä se viimeksi nähtiin. Sininen nuoli näyttää meteorin näkyvän lennon.

static map
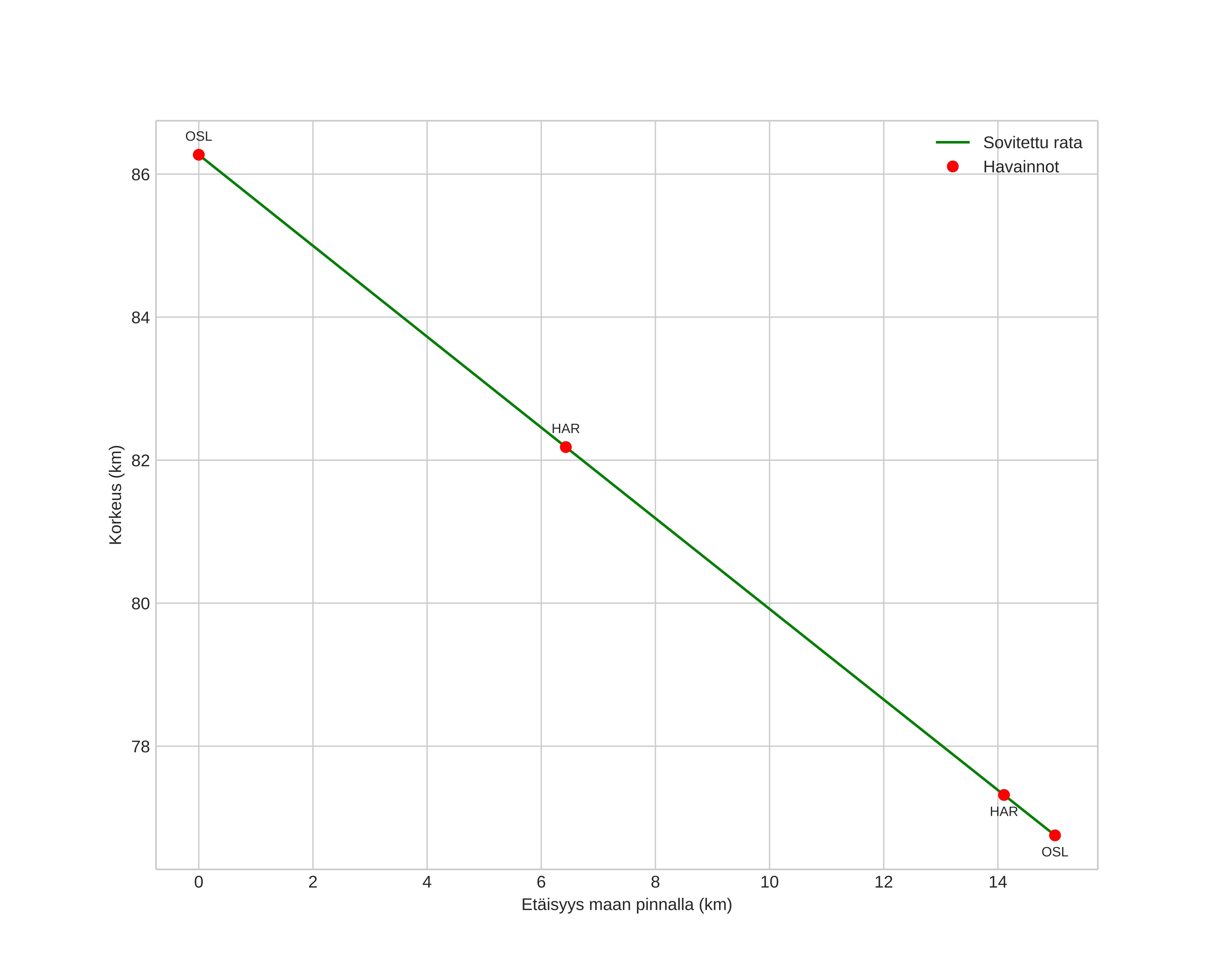
height profile
Meteorin ilmakehärata:
Alkukorkeus: 86,3 km
Loppukorkeus: 76,8 km
Alkupiste: 60,308N 10,586E
Loppupiste: 60,369N 10,343E
Suunta: 297,0°
Kallistuskulma: 32,3°
Tulonopeus: 27,7 km/s
Radiantin R,A,: 03:23 (51,0°)
Radiantin Dekl,: 13,5°
Meteoriparvi: Eteläiset tauridit
Meteoroidin rataelementit:
Perihelietäisyys: 0,445 AU
Eksentrisyys: 0,781
Inklinaatio: 4,7°
Nousevan solmun pituus: 44,4°
Perihelin argumentti: 104,8°
Keskianomalia: 344,7°
Epookki: 2017 NOV 06 20:07:56
orbit plot

Ei-interaktiivinen kuvaaja | Interaktiivinen kuvaaja

position vs time
speed and acceleration