🇳🇴 🇬🇧 🇩🇪 🇨🇿 🇫🇮

Meteor, poloha: Vinstra 2017-11-09 20:04:23 UTC

Soubor KML  |  InteraktivnĂ­ mapa

Mapa zobrazuje dráhy meteoru. Světlejší čáry ukazují směry od pozorovacích stanic při objevení se meteoru a tmavší čáry, kde byl naposledy viděn. Modrá šipka značí viditelnou dráhu meteoru.

static map
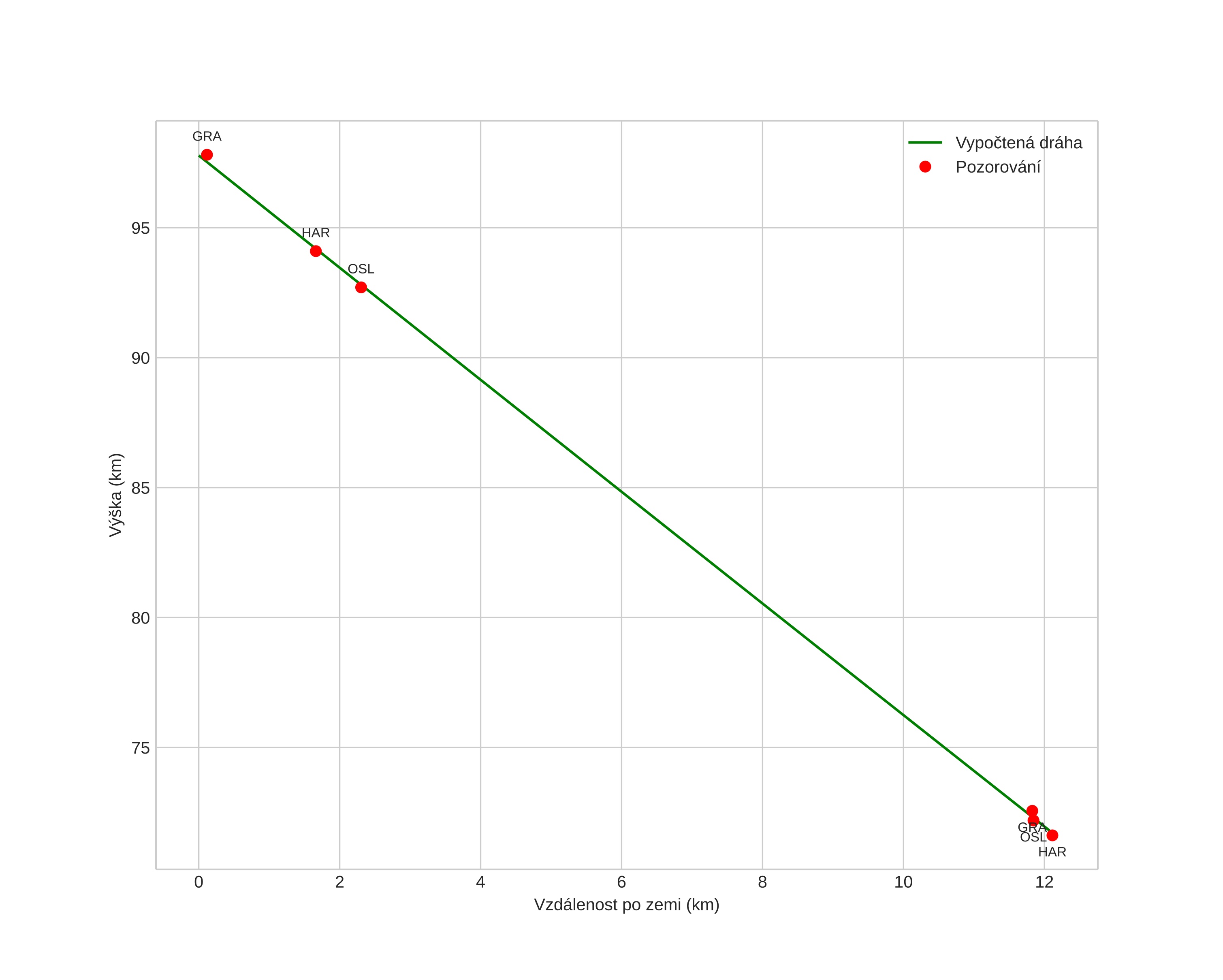
height profile
Atmosférická dráha meteoru:
Počáteční výška: 97,8 km
Konečná výška: 71,6 km
Počáteční poloha: 61,419N 9,499E
Konečná poloha: 61,344N 9,665E
Směr: 133,1°
Sklon: 65,1°
VstupnĂ­ rychlost: 27,3 km/s
Rektascenze radiantu: 19:47 (296,9°)
Deklinace radiantu: 68,3°
MeteorickĂ˝ roj: sporadickĂ˝
Elementy dráhy meteoroidu:
Vzdálenost v periheliu: 0,977 AU
Excentricita: 0,843
Sklon dráhy: 37,5°
Délka vzestupného uzlu: 227,4°
Argument perihelia: 193,8°
Střední anomálie: 359,4°
Epocha: 2017 NOV 09 20:04:23
orbit plot

NeinteraktivnĂ­ graf | InteraktivnĂ­ graf

position vs time
speed and acceleration