🇳🇴 🇬🇧 🇩🇪 🇨🇿 🇫🇮

Meteor Vinstran yllä 2017-11-09 20:04:23 UTC

KML-tiedosto  |  Interaktiivinen kartta

Kartta näyttää meteorin suuntahavainnot. Vaaleammat viivat näyttävät suunnat havaintoasemilta meteorin ilmestyessä, ja tummemmat viivat näyttävät, missä se viimeksi nähtiin. Sininen nuoli näyttää meteorin näkyvän lennon.

static map
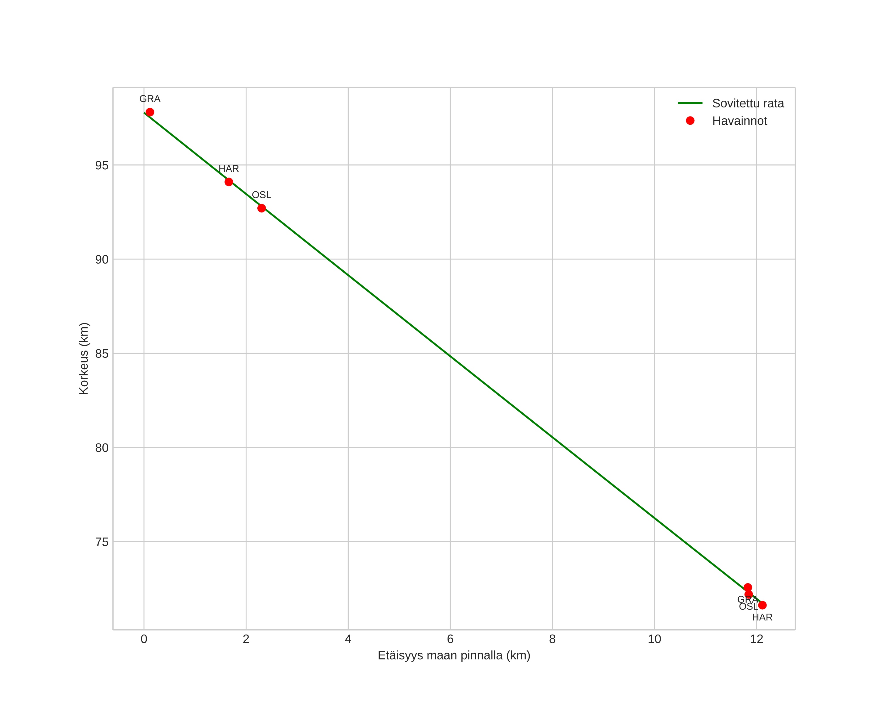
height profile
Meteorin ilmakehärata:
Alkukorkeus: 97,8 km
Loppukorkeus: 71,6 km
Alkupiste: 61,419N 9,499E
Loppupiste: 61,344N 9,665E
Suunta: 133,1°
Kallistuskulma: 65,1°
Tulonopeus: 27,3 km/s
Radiantin R,A,: 19:47 (296,9°)
Radiantin Dekl,: 68,3°
Meteoriparvi: Sporadinen
Meteoroidin rataelementit:
Perihelietäisyys: 0,977 AU
Eksentrisyys: 0,843
Inklinaatio: 37,5°
Nousevan solmun pituus: 227,4°
Perihelin argumentti: 193,8°
Keskianomalia: 359,4°
Epookki: 2017 NOV 09 20:04:23
orbit plot

Ei-interaktiivinen kuvaaja | Interaktiivinen kuvaaja

position vs time
speed and acceleration