🇳🇴 🇬🇧 🇩🇪 🇨🇿 🇫🇮

Meteor, poloha: SĂĄlanda 2017-11-09 22:49:49 UTC

Soubor KML  |  InteraktivnĂ­ mapa

Mapa zobrazuje dráhy meteoru. Světlejší čáry ukazují směry od pozorovacích stanic při objevení se meteoru a tmavší čáry, kde byl naposledy viděn. Modrá šipka značí viditelnou dráhu meteoru.

static map
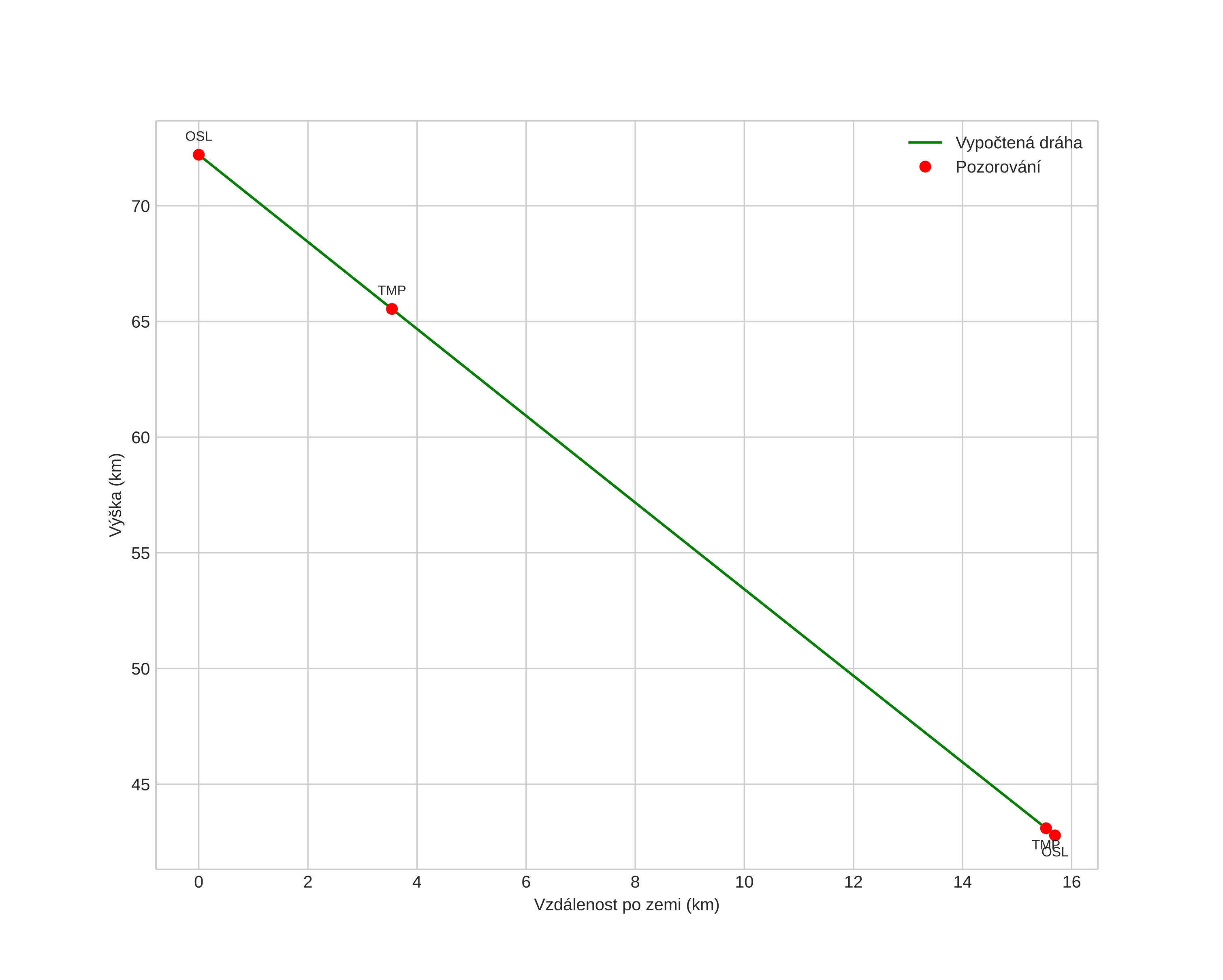
height profile
Atmosférická dráha meteoru:
Počáteční výška: 72,2 km
Konečná výška: 42,8 km
Počáteční poloha: 57,927N 11,952E
Konečná poloha: 57,952N 12,214E
Směr: 79,6°
Sklon: 61,9°
VstupnĂ­ rychlost: 15,4 km/s
Rektascenze radiantu: 23:47 (356,9°)
Deklinace radiantu: 40,2°
MeteorickĂ˝ roj: sporadickĂ˝
Elementy dráhy meteoroidu:
Vzdálenost v periheliu: 0,920 AU
Excentricita: 0,484
Sklon dráhy: 10,7°
Délka vzestupného uzlu: 227,5°
Argument perihelia: 218,5°
Střední anomálie: 347,7°
Epocha: 2017 NOV 09 22:49:49
orbit plot

NeinteraktivnĂ­ graf | InteraktivnĂ­ graf

position vs time
speed and acceleration