🇳🇴 🇬🇧 🇩🇪 🇨🇿 🇫🇮

Meteor Sålandan yllä 2017-11-09 22:49:49 UTC

KML-tiedosto  |  Interaktiivinen kartta

Kartta näyttää meteorin suuntahavainnot. Vaaleammat viivat näyttävät suunnat havaintoasemilta meteorin ilmestyessä, ja tummemmat viivat näyttävät, missä se viimeksi nähtiin. Sininen nuoli näyttää meteorin näkyvän lennon.

static map
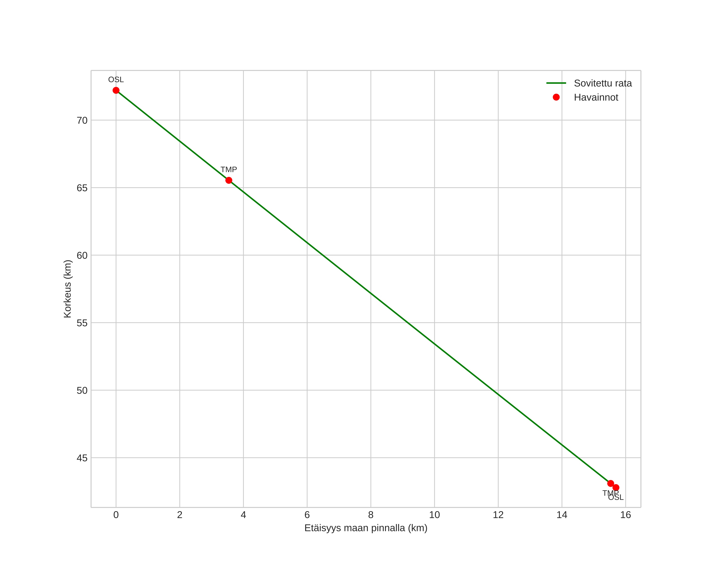
height profile
Meteorin ilmakehärata:
Alkukorkeus: 72,2 km
Loppukorkeus: 42,8 km
Alkupiste: 57,927N 11,952E
Loppupiste: 57,952N 12,214E
Suunta: 79,6°
Kallistuskulma: 61,9°
Tulonopeus: 15,4 km/s
Radiantin R,A,: 23:47 (356,9°)
Radiantin Dekl,: 40,2°
Meteoriparvi: Sporadinen
Meteoroidin rataelementit:
Perihelietäisyys: 0,920 AU
Eksentrisyys: 0,484
Inklinaatio: 10,7°
Nousevan solmun pituus: 227,5°
Perihelin argumentti: 218,5°
Keskianomalia: 347,7°
Epookki: 2017 NOV 09 22:49:49
orbit plot

Ei-interaktiivinen kuvaaja | Interaktiivinen kuvaaja

position vs time
speed and acceleration