🇳🇴 🇬🇧 🇩🇪 🇨🇿 🇫🇮

Meteor, poloha: Eidfjord 2017-11-11 04:50:22 UTC

Soubor KML  |  InteraktivnĂ­ mapa

Mapa zobrazuje dráhy meteoru. Světlejší čáry ukazují směry od pozorovacích stanic při objevení se meteoru a tmavší čáry, kde byl naposledy viděn. Modrá šipka značí viditelnou dráhu meteoru.

static map
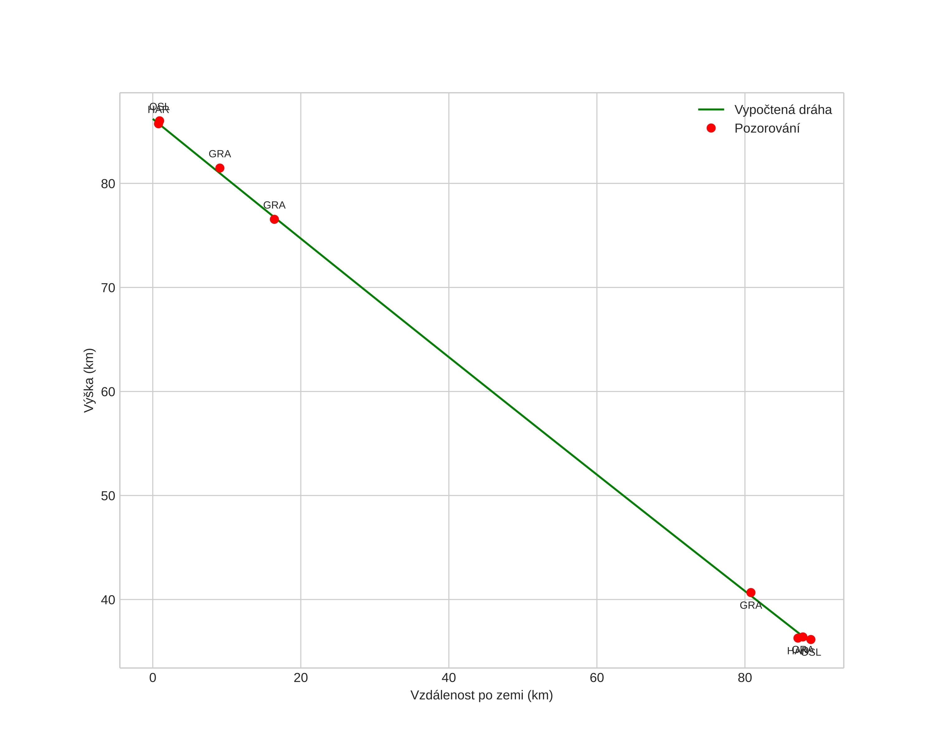
height profile
Atmosférická dráha meteoru:
Počáteční výška: 86,2 km
Konečná výška: 35,9 km
Počáteční poloha: 59,921N 5,982E
Konečná poloha: 60,149N 7,514E
Směr: 72,7°
Sklon: 29,5°
VstupnĂ­ rychlost: 22,5 km/s
Rektascenze radiantu: 04:22 (65,7°)
Deklinace radiantu: 13,1°
MeteorickĂ˝ roj: JiĹľnĂ­ Tauridy
Elementy dráhy meteoroidu:
Vzdálenost v periheliu: 0,407 AU
Excentricita: 0,618
Sklon dráhy: 6,8°
Délka vzestupného uzlu: 48,8°
Argument perihelia: 122,8°
Střední anomálie: 311,7°
Epocha: 2017 NOV 11 04:50:22
orbit plot

NeinteraktivnĂ­ graf | InteraktivnĂ­ graf

position vs time
speed and acceleration