🇳🇴 🇬🇧 🇩🇪 🇨🇿 🇫🇮

Meteor Eidfjordin yllä 2017-11-11 04:50:22 UTC

KML-tiedosto  |  Interaktiivinen kartta

Kartta näyttää meteorin suuntahavainnot. Vaaleammat viivat näyttävät suunnat havaintoasemilta meteorin ilmestyessä, ja tummemmat viivat näyttävät, missä se viimeksi nähtiin. Sininen nuoli näyttää meteorin näkyvän lennon.

static map
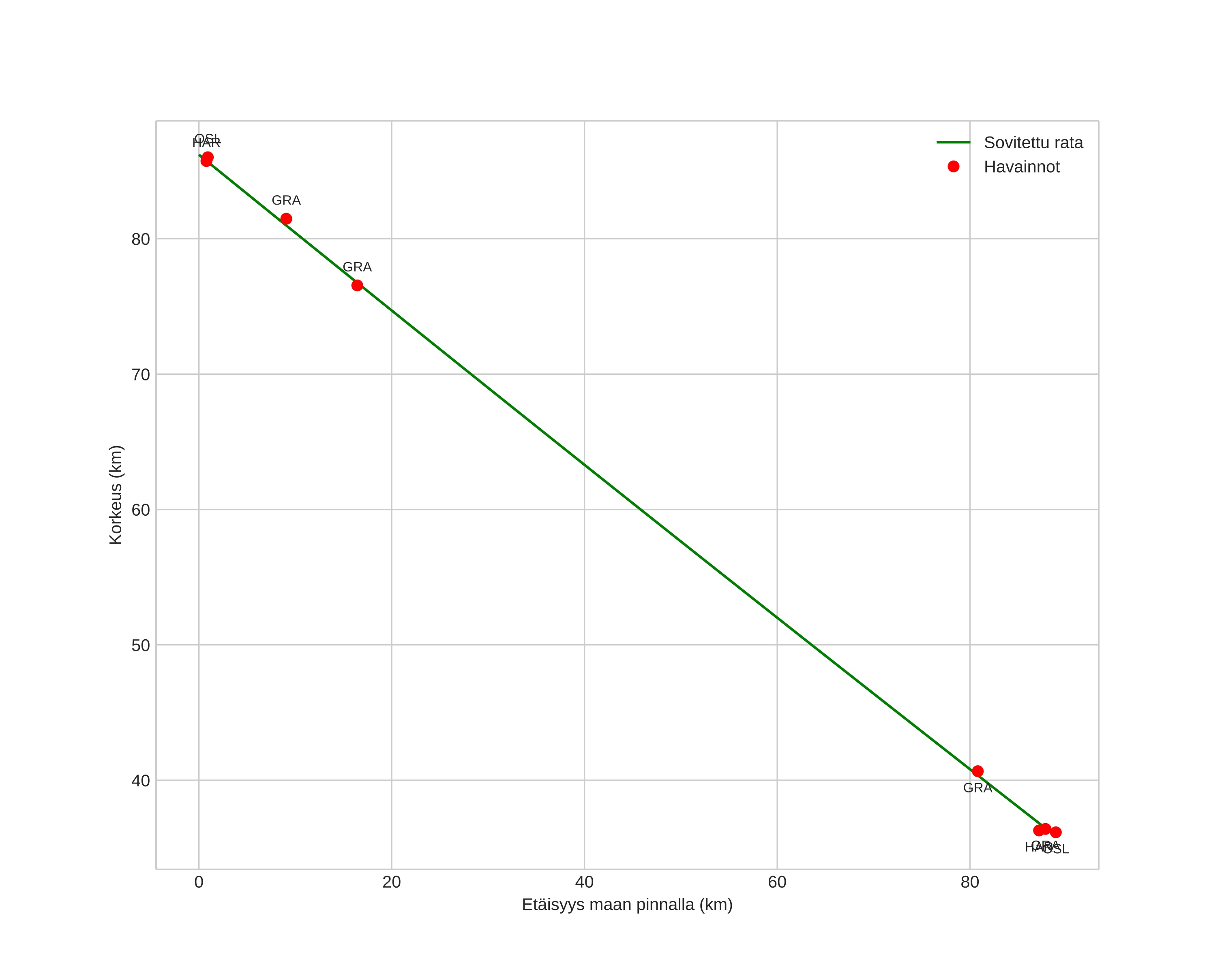
height profile
Meteorin ilmakehärata:
Alkukorkeus: 86,2 km
Loppukorkeus: 35,9 km
Alkupiste: 59,921N 5,982E
Loppupiste: 60,149N 7,514E
Suunta: 72,7°
Kallistuskulma: 29,5°
Tulonopeus: 22,5 km/s
Radiantin R,A,: 04:22 (65,7°)
Radiantin Dekl,: 13,1°
Meteoriparvi: Eteläiset tauridit
Meteoroidin rataelementit:
Perihelietäisyys: 0,407 AU
Eksentrisyys: 0,618
Inklinaatio: 6,8°
Nousevan solmun pituus: 48,8°
Perihelin argumentti: 122,8°
Keskianomalia: 311,7°
Epookki: 2017 NOV 11 04:50:22
orbit plot

Ei-interaktiivinen kuvaaja | Interaktiivinen kuvaaja

position vs time
speed and acceleration