🇳🇴 🇬🇧 🇩🇪 🇨🇿 🇫🇮

Meteor, poloha: Skagen 2017-11-12 05:03:00 UTC

Soubor KML  |  InteraktivnĂ­ mapa

Mapa zobrazuje dráhy meteoru. Světlejší čáry ukazují směry od pozorovacích stanic při objevení se meteoru a tmavší čáry, kde byl naposledy viděn. Modrá šipka značí viditelnou dráhu meteoru.

static map
height profile
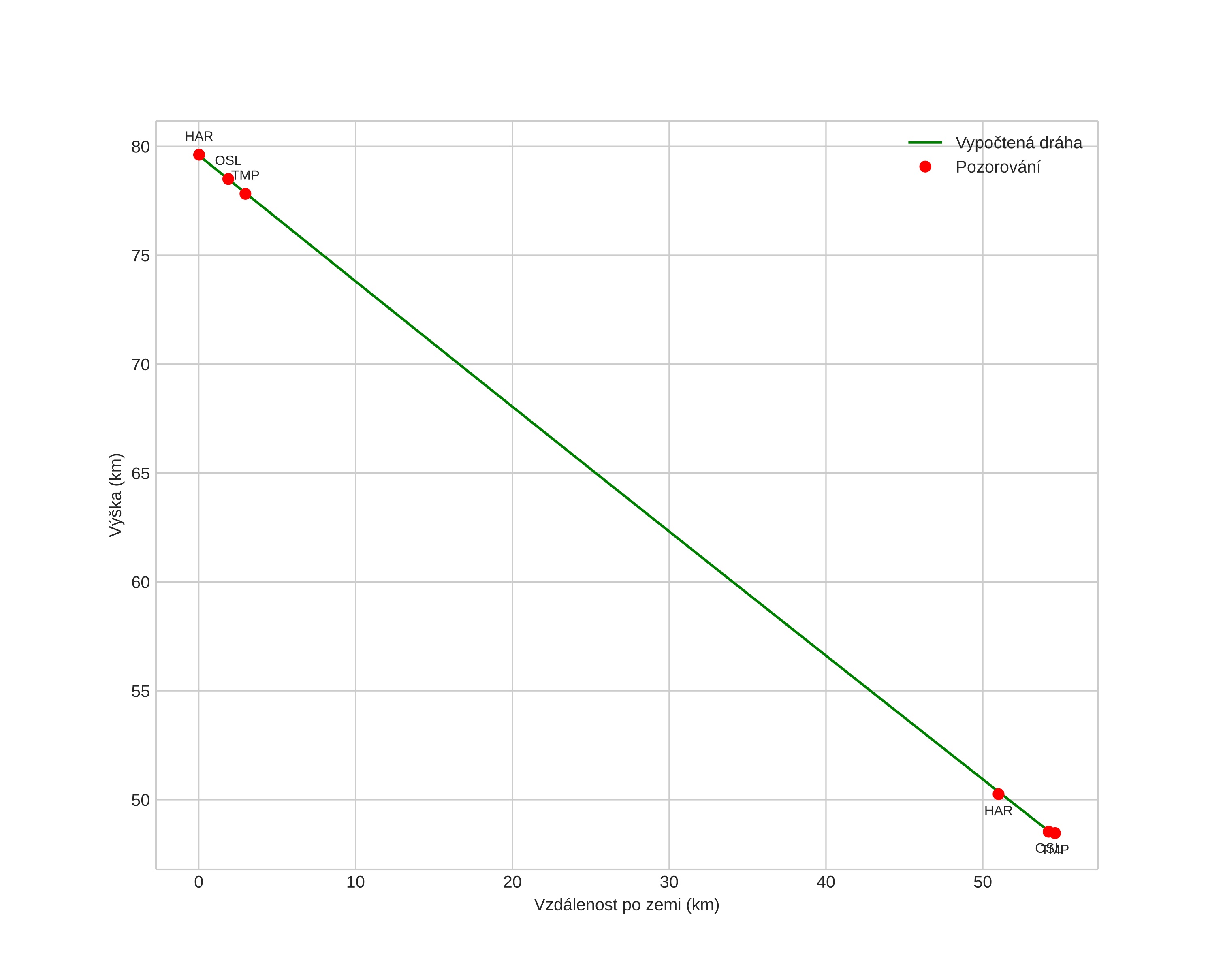
Atmosférická dráha meteoru:
Počáteční výška: 79,6 km
Konečná výška: 48,4 km
Počáteční poloha: 57,953N 9,712E
Konečná poloha: 57,753N 10,554E
Směr: 113,8°
Sklon: 29,8°
VstupnĂ­ rychlost: 23,4 km/s
Rektascenze radiantu: 02:45 (41,3°)
Deklinace radiantu: 33,5°
MeteorickĂ˝ roj: sporadickĂ˝
Elementy dráhy meteoroidu:
Vzdálenost v periheliu: 0,618 AU
Excentricita: 0,703
Sklon dráhy: 11,2°
Délka vzestupného uzlu: 229,7°
Argument perihelia: 264,8°
Střední anomálie: 345,1°
Epocha: 2017 NOV 12 05:03:00
orbit plot

NeinteraktivnĂ­ graf | InteraktivnĂ­ graf

position vs time
speed and acceleration