🇳🇴 🇬🇧 🇩🇪 🇨🇿 🇫🇮

Meteor Skagenin yllä 2017-11-12 05:03:00 UTC

KML-tiedosto  |  Interaktiivinen kartta

Kartta näyttää meteorin suuntahavainnot. Vaaleammat viivat näyttävät suunnat havaintoasemilta meteorin ilmestyessä, ja tummemmat viivat näyttävät, missä se viimeksi nähtiin. Sininen nuoli näyttää meteorin näkyvän lennon.

static map
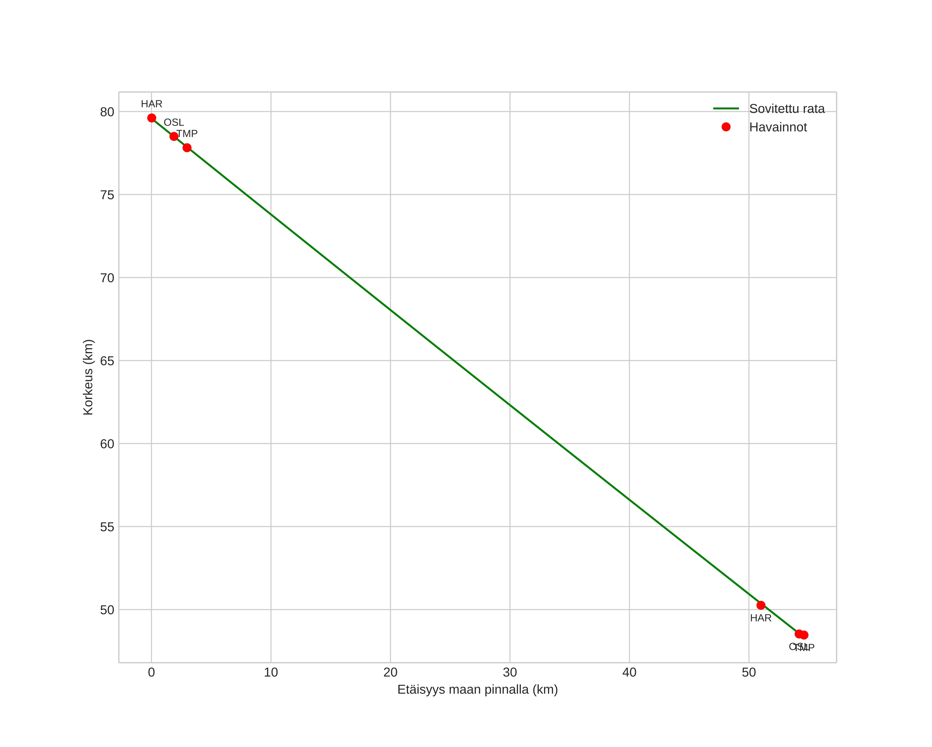
height profile
Meteorin ilmakehärata:
Alkukorkeus: 79,6 km
Loppukorkeus: 48,4 km
Alkupiste: 57,953N 9,712E
Loppupiste: 57,753N 10,554E
Suunta: 113,8°
Kallistuskulma: 29,8°
Tulonopeus: 23,4 km/s
Radiantin R,A,: 02:45 (41,3°)
Radiantin Dekl,: 33,5°
Meteoriparvi: Sporadinen
Meteoroidin rataelementit:
Perihelietäisyys: 0,618 AU
Eksentrisyys: 0,703
Inklinaatio: 11,2°
Nousevan solmun pituus: 229,7°
Perihelin argumentti: 264,8°
Keskianomalia: 345,1°
Epookki: 2017 NOV 12 05:03:00
orbit plot

Ei-interaktiivinen kuvaaja | Interaktiivinen kuvaaja

position vs time
speed and acceleration