🇳🇴 🇬🇧 🇩🇪 🇨🇿 🇫🇮

Meteor, poloha: Roa 2017-11-12 17:21:00 UTC

Soubor KML  |  InteraktivnĂ­ mapa

Mapa zobrazuje dráhy meteoru. Světlejší čáry ukazují směry od pozorovacích stanic při objevení se meteoru a tmavší čáry, kde byl naposledy viděn. Modrá šipka značí viditelnou dráhu meteoru.

static map
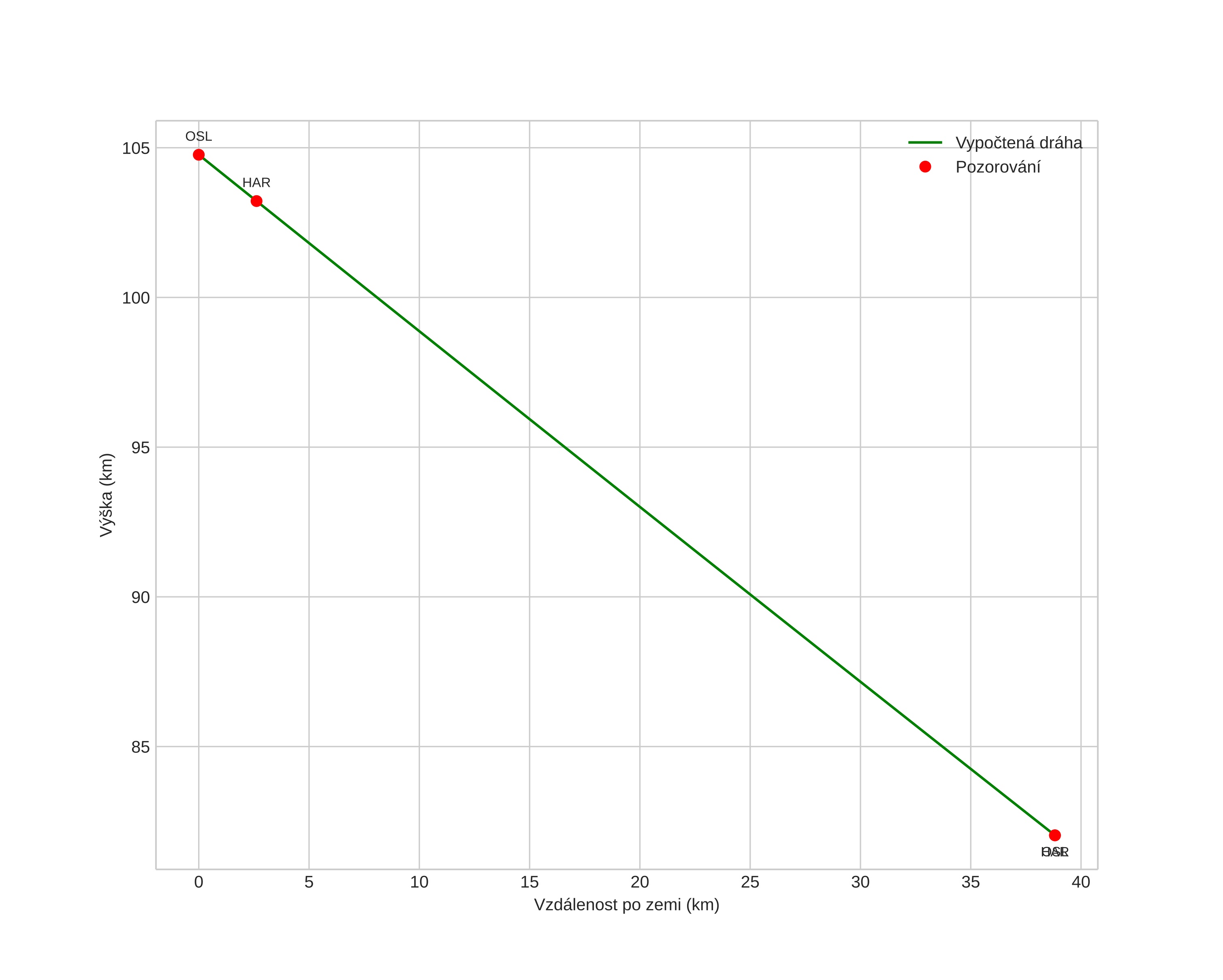
height profile
Atmosférická dráha meteoru:
Počáteční výška: 104,8 km
Konečná výška: 82,0 km
Počáteční poloha: 60,624N 11,198E
Konečná poloha: 60,375N 10,701E
Směr: 224,7°
Sklon: 30,4°
VstupnĂ­ rychlost: 50,3 km/s
Rektascenze radiantu: 05:16 (79,0°)
Deklinace radiantu: 47,3°
MeteorickĂ˝ roj: sporadickĂ˝
Elementy dráhy meteoroidu:
Vzdálenost v periheliu: 0,243 AU
Excentricita: 1,035
Sklon dráhy: 71,4°
Délka vzestupného uzlu: 230,3°
Argument perihelia: 298,9°
Střední anomálie: -1,8°
Epocha: 2017 NOV 12 17:21:00
orbit plot

NeinteraktivnĂ­ graf | InteraktivnĂ­ graf

position vs time
speed and acceleration