🇳🇴 🇬🇧 🇩🇪 🇨🇿 🇫🇮

Meteor Roan yllä 2017-11-12 17:21:00 UTC

KML-tiedosto  |  Interaktiivinen kartta

Kartta näyttää meteorin suuntahavainnot. Vaaleammat viivat näyttävät suunnat havaintoasemilta meteorin ilmestyessä, ja tummemmat viivat näyttävät, missä se viimeksi nähtiin. Sininen nuoli näyttää meteorin näkyvän lennon.

static map
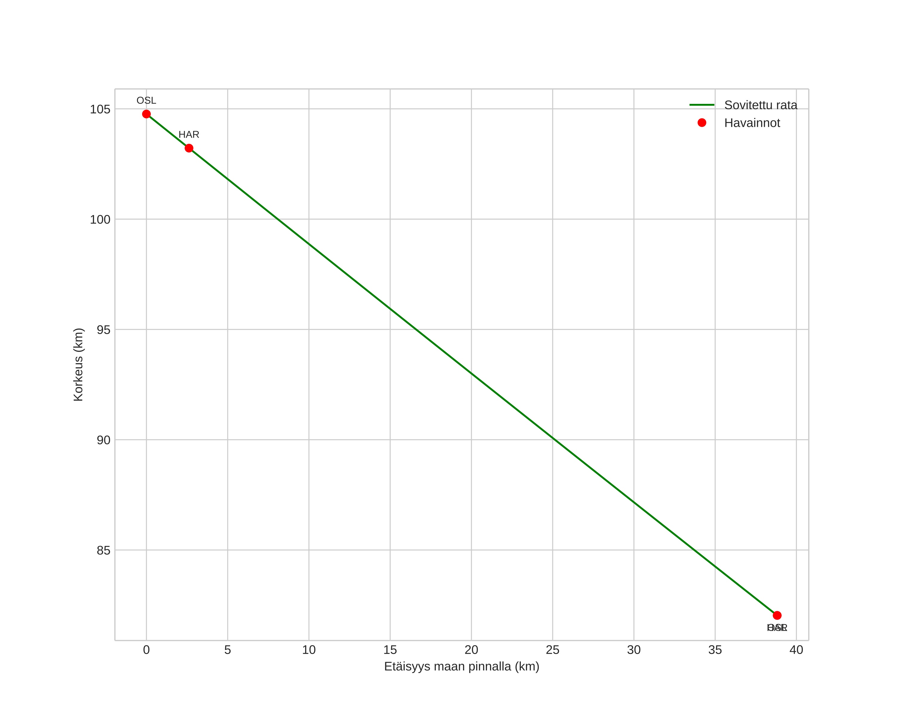
height profile
Meteorin ilmakehärata:
Alkukorkeus: 104,8 km
Loppukorkeus: 82,0 km
Alkupiste: 60,624N 11,198E
Loppupiste: 60,375N 10,701E
Suunta: 224,7°
Kallistuskulma: 30,4°
Tulonopeus: 50,3 km/s
Radiantin R,A,: 05:16 (79,0°)
Radiantin Dekl,: 47,3°
Meteoriparvi: Sporadinen
Meteoroidin rataelementit:
Perihelietäisyys: 0,243 AU
Eksentrisyys: 1,035
Inklinaatio: 71,4°
Nousevan solmun pituus: 230,3°
Perihelin argumentti: 298,9°
Keskianomalia: -1,8°
Epookki: 2017 NOV 12 17:21:00
orbit plot

Ei-interaktiivinen kuvaaja | Interaktiivinen kuvaaja

position vs time
speed and acceleration