🇳🇴 🇬🇧 🇩🇪 🇨🇿 🇫🇮

Meteor, poloha: Grebbestad 2017-11-12 22:08:36 UTC

Soubor KML  |  InteraktivnĂ­ mapa

Mapa zobrazuje dráhy meteoru. Světlejší čáry ukazují směry od pozorovacích stanic při objevení se meteoru a tmavší čáry, kde byl naposledy viděn. Modrá šipka značí viditelnou dráhu meteoru.

static map
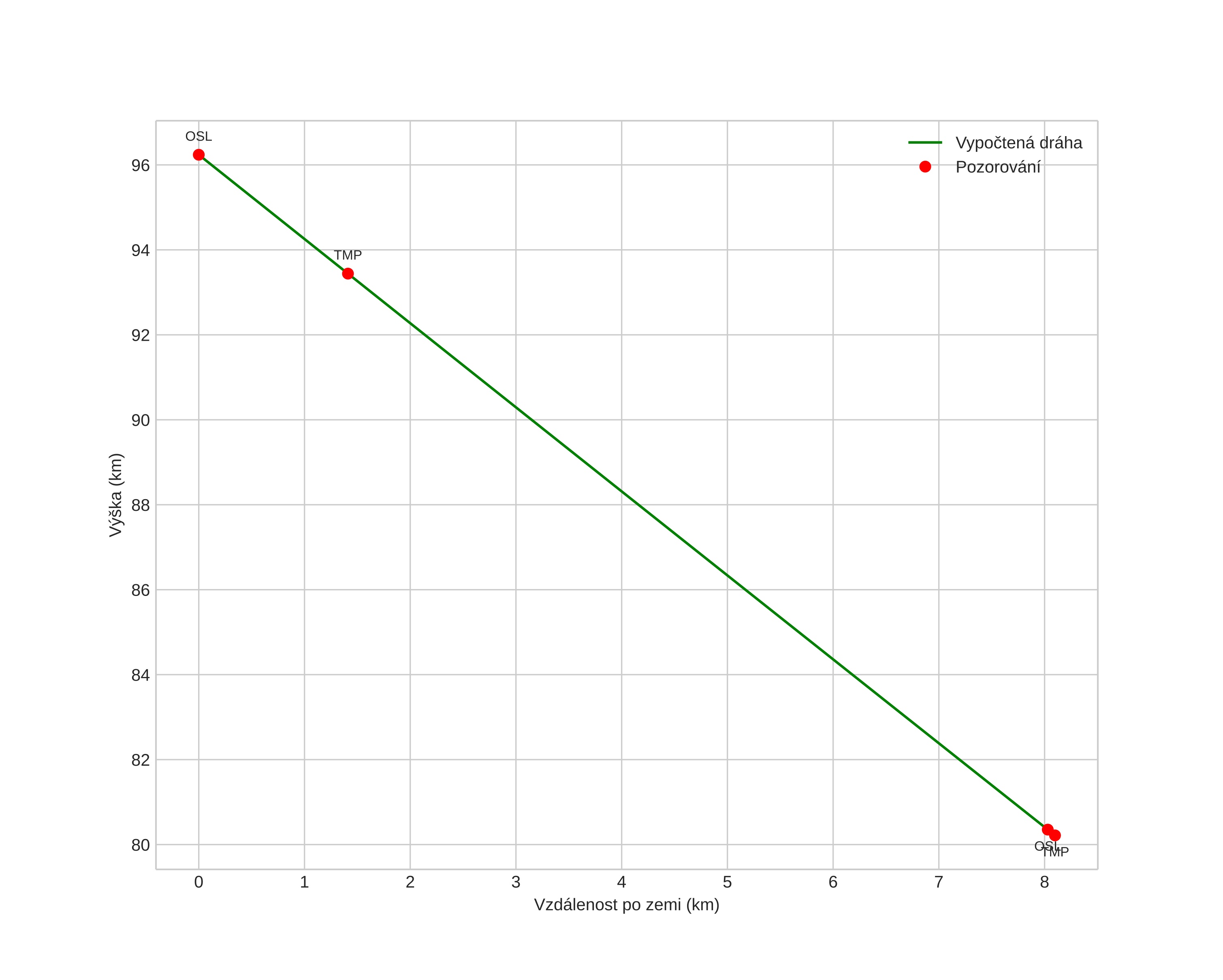
height profile
Atmosférická dráha meteoru:
Počáteční výška: 96,2 km
Konečná výška: 80,2 km
Počáteční poloha: 58,609N 11,150E
Konečná poloha: 58,679N 11,192E
Směr: 17,5°
Sklon: 63,2°
VstupnĂ­ rychlost: 19,2 km/s
Rektascenze radiantu: 01:37 (24,5°)
Deklinace radiantu: 29,5°
MeteorickĂ˝ roj: sporadickĂ˝
Elementy dráhy meteoroidu:
Vzdálenost v periheliu: 0,800 AU
Excentricita: 0,669
Sklon dráhy: 8,0°
Délka vzestupného uzlu: 230,5°
Argument perihelia: 238,5°
Střední anomálie: 350,0°
Epocha: 2017 NOV 12 22:08:36
orbit plot

NeinteraktivnĂ­ graf | InteraktivnĂ­ graf

position vs time
speed and acceleration