🇳🇴 🇬🇧 🇩🇪 🇨🇿 🇫🇮

Meteor über Grebbestad 2017-11-12 22:08:36 UTC

KML-Datei  |  Interaktive Karte

Die Karte zeigt die Peilungen für den Meteor. Die helleren Linien zeigen die Richtungen von den Beobachtungsorten beim Erscheinen des Meteors, und die dunkleren Linien, wo er zuletzt gesehen wurde. Der blaue Pfeil zeigt die sichtbare Bahn des Meteors.

static map
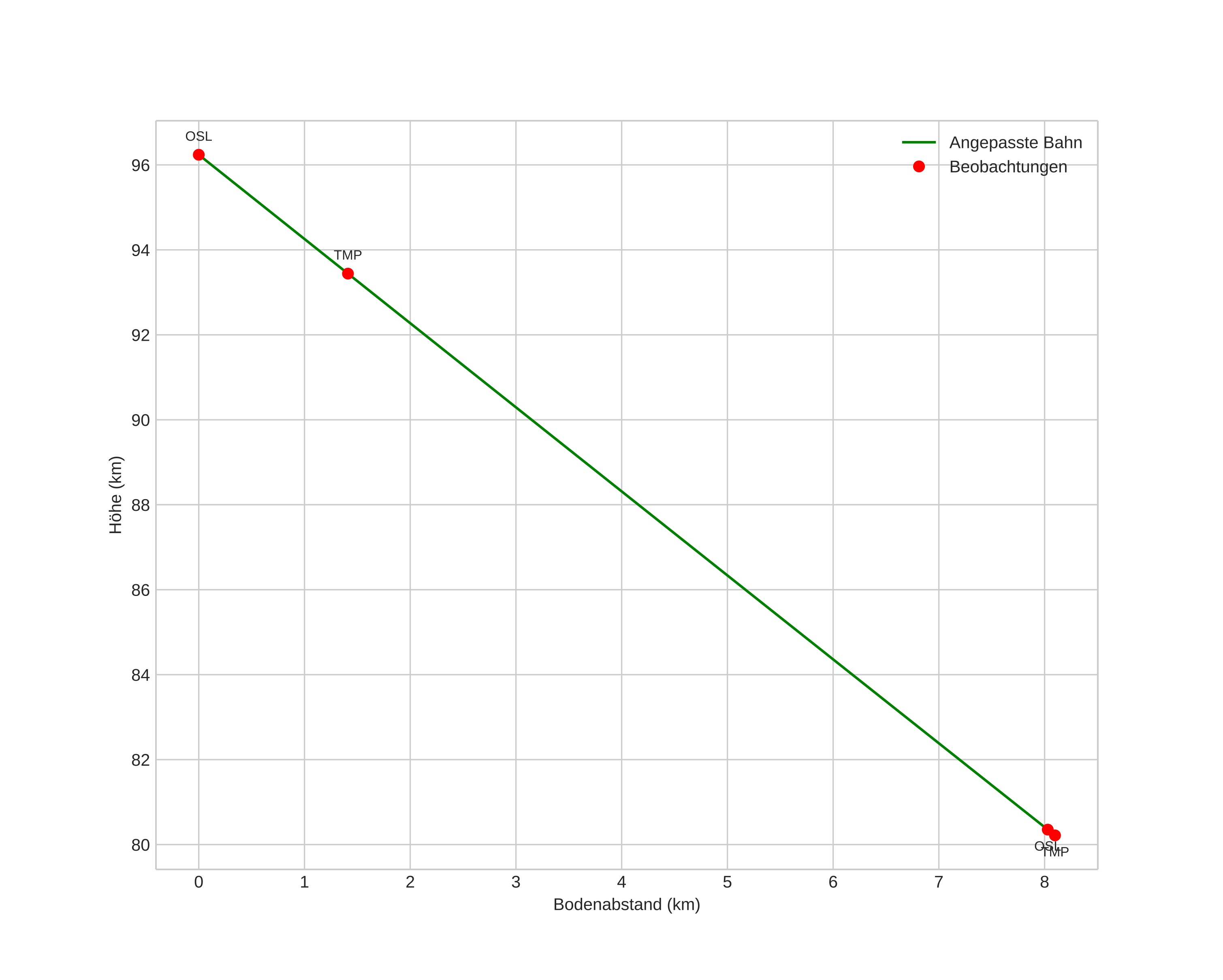
height profile
Atmosphärische Bahn des Meteors:
Anfangshöhe: 96,2 km
Endhöhe: 80,2 km
Startposition: 58,609N 11,150E
Endposition: 58,679N 11,192E
Richtung: 17,5°
Neigungswinkel: 63,2°
Eintrittsgeschwindigkeit: 19,2 km/s
Rektaszension des Radianten: 01:37 (24,5°)
Deklination des Radianten: 29,5°
Meteorstrom: sporadisch
Bahnelemente des Meteoroiden:
Periheldistanz: 0,800 AU
Exzentrizität: 0,669
Inklination: 8,0°
Länge des aufsteigenden Knotens: 230,5°
Argument des Perihels: 238,5°
Mittlere Anomalie: 350,0°
Epoche: 2017 NOV 12 22:08:36
orbit plot

Nicht-interaktives Diagramm | Interaktives Diagramm

position vs time
speed and acceleration