🇳🇴 🇬🇧 🇩🇪 🇨🇿 🇫🇮

Meteor, poloha: Elverum 2017-11-13 16:20:04 UTC

Soubor KML  |  InteraktivnĂ­ mapa

Mapa zobrazuje dráhy meteoru. Světlejší čáry ukazují směry od pozorovacích stanic při objevení se meteoru a tmavší čáry, kde byl naposledy viděn. Modrá šipka značí viditelnou dráhu meteoru.

static map
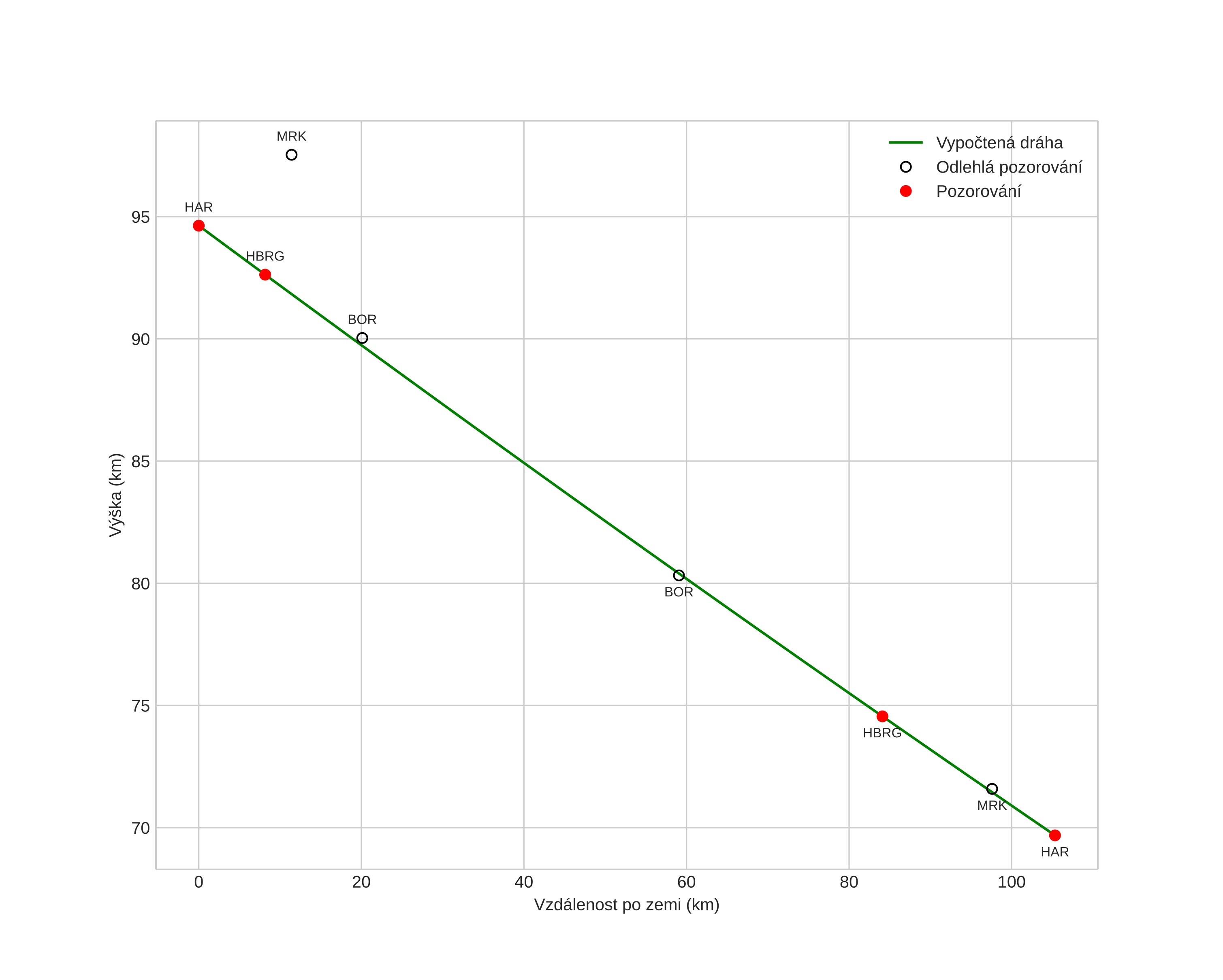
height profile
Atmosférická dráha meteoru:
Počáteční výška: 94,6 km
Konečná výška: 69,7 km
Počáteční poloha: 61,710N 13,111E
Konečná poloha: 61,030N 11,735E
Směr: 224,7°
Sklon: 13,3°
VstupnĂ­ rychlost: 47,5 km/s
Rektascenze radiantu: 05:10 (77,6°)
Deklinace radiantu: 30,9°
MeteorickĂ˝ roj: sporadickĂ˝
Elementy dráhy meteoroidu:
Vzdálenost v periheliu: 0,064 AU
Excentricita: 0,998
Sklon dráhy: 36,4°
Délka vzestupného uzlu: 231,2°
Argument perihelia: 330,8°
Střední anomálie: 359,8°
Epocha: 2017 NOV 13 16:20:04
orbit plot

NeinteraktivnĂ­ graf | InteraktivnĂ­ graf

position vs time
speed and acceleration