🇳🇴 🇬🇧 🇩🇪 🇨🇿 🇫🇮

Meteor Elverumin yllä 2017-11-13 16:20:04 UTC

KML-tiedosto  |  Interaktiivinen kartta

Kartta näyttää meteorin suuntahavainnot. Vaaleammat viivat näyttävät suunnat havaintoasemilta meteorin ilmestyessä, ja tummemmat viivat näyttävät, missä se viimeksi nähtiin. Sininen nuoli näyttää meteorin näkyvän lennon.

static map
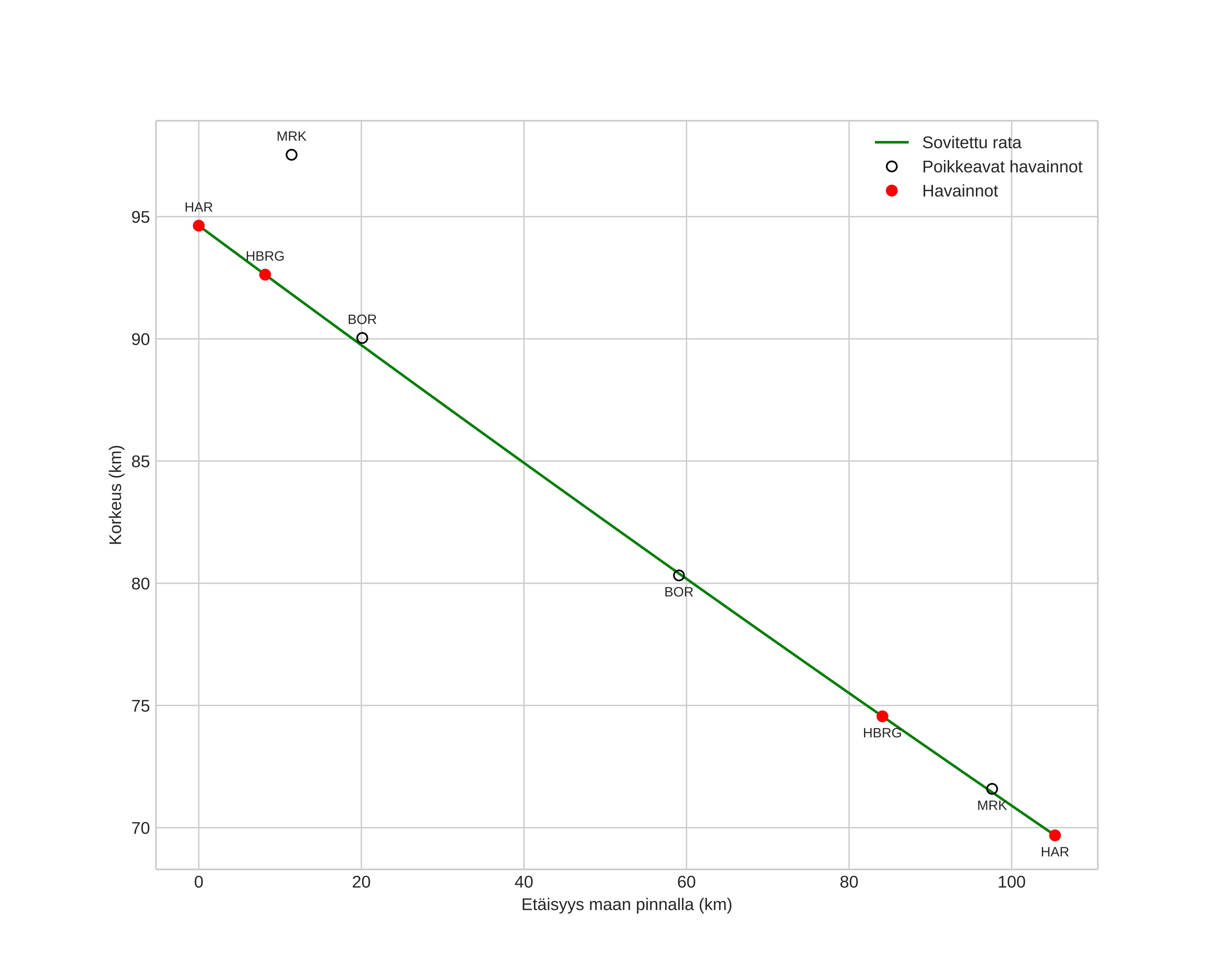
height profile
Meteorin ilmakehärata:
Alkukorkeus: 94,6 km
Loppukorkeus: 69,7 km
Alkupiste: 61,710N 13,111E
Loppupiste: 61,030N 11,735E
Suunta: 224,7°
Kallistuskulma: 13,3°
Tulonopeus: 47,5 km/s
Radiantin R,A,: 05:10 (77,6°)
Radiantin Dekl,: 30,9°
Meteoriparvi: Sporadinen
Meteoroidin rataelementit:
Perihelietäisyys: 0,064 AU
Eksentrisyys: 0,998
Inklinaatio: 36,4°
Nousevan solmun pituus: 231,2°
Perihelin argumentti: 330,8°
Keskianomalia: 359,8°
Epookki: 2017 NOV 13 16:20:04
orbit plot

Ei-interaktiivinen kuvaaja | Interaktiivinen kuvaaja

position vs time
speed and acceleration