🇳🇴 🇬🇧 🇩🇪 🇨🇿 🇫🇮

Meteor, poloha: Moelv 2017-11-16 00:53:46 UTC

Soubor KML  |  InteraktivnĂ­ mapa

Mapa zobrazuje dráhy meteoru. Světlejší čáry ukazují směry od pozorovacích stanic při objevení se meteoru a tmavší čáry, kde byl naposledy viděn. Modrá šipka značí viditelnou dráhu meteoru.

static map
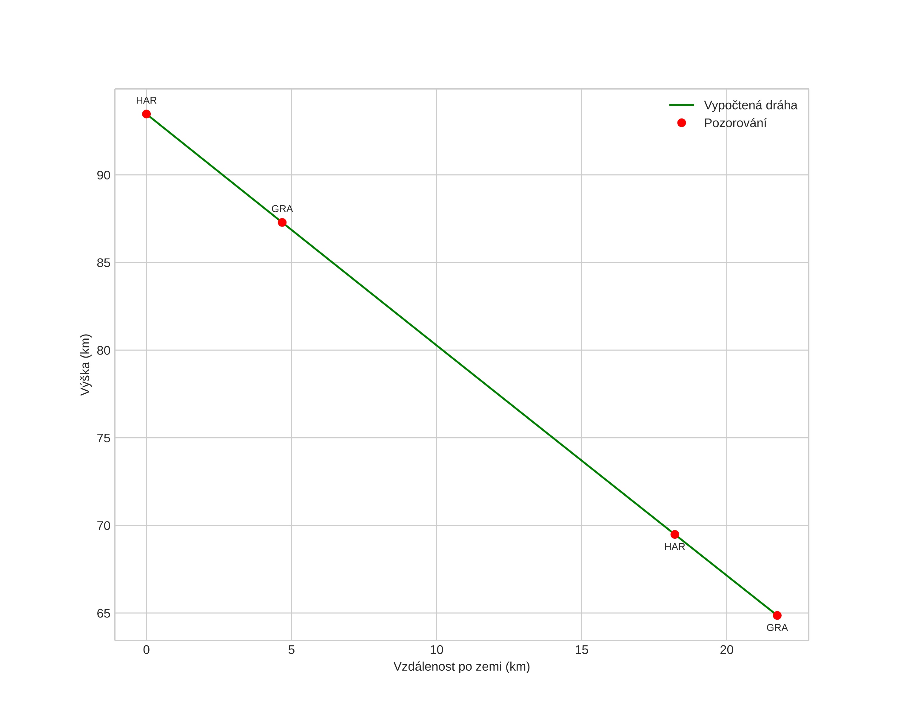
height profile
Atmosférická dráha meteoru:
Počáteční výška: 93,5 km
Konečná výška: 64,9 km
Počáteční poloha: 60,860N 10,500E
Konečná poloha: 61,038N 10,666E
Směr: 24,2°
Sklon: 52,8°
VstupnĂ­ rychlost: 28,6 km/s
Rektascenze radiantu: 04:08 (62,1°)
Deklinace radiantu: 23,5°
MeteorickĂ˝ roj: SevernĂ­ Tauridy
Elementy dráhy meteoroidu:
Vzdálenost v periheliu: 0,388 AU
Excentricita: 0,794
Sklon dráhy: 2,7°
Délka vzestupného uzlu: 233,6°
Argument perihelia: 292,0°
Střední anomálie: 343,2°
Epocha: 2017 NOV 16 00:53:46
orbit plot

NeinteraktivnĂ­ graf | InteraktivnĂ­ graf

position vs time
speed and acceleration