🇳🇴 🇬🇧 🇩🇪 🇨🇿 🇫🇮

Meteor Moelvin yllä 2017-11-16 00:53:46 UTC

KML-tiedosto  |  Interaktiivinen kartta

Kartta näyttää meteorin suuntahavainnot. Vaaleammat viivat näyttävät suunnat havaintoasemilta meteorin ilmestyessä, ja tummemmat viivat näyttävät, missä se viimeksi nähtiin. Sininen nuoli näyttää meteorin näkyvän lennon.

static map
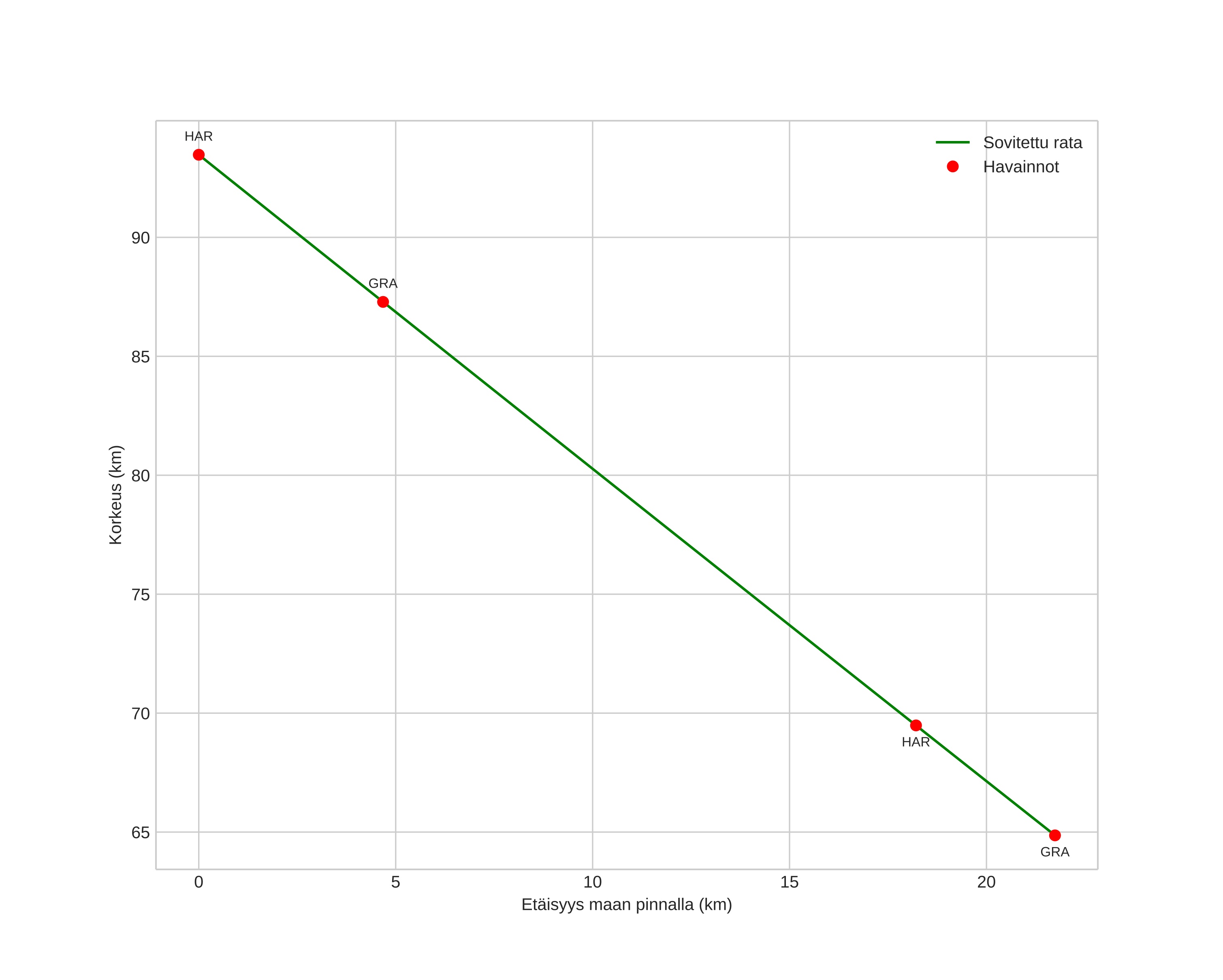
height profile
Meteorin ilmakehärata:
Alkukorkeus: 93,5 km
Loppukorkeus: 64,9 km
Alkupiste: 60,860N 10,500E
Loppupiste: 61,038N 10,666E
Suunta: 24,2°
Kallistuskulma: 52,8°
Tulonopeus: 28,6 km/s
Radiantin R,A,: 04:08 (62,1°)
Radiantin Dekl,: 23,5°
Meteoriparvi: Pohjoiset tauridit
Meteoroidin rataelementit:
Perihelietäisyys: 0,388 AU
Eksentrisyys: 0,794
Inklinaatio: 2,7°
Nousevan solmun pituus: 233,6°
Perihelin argumentti: 292,0°
Keskianomalia: 343,2°
Epookki: 2017 NOV 16 00:53:46
orbit plot

Ei-interaktiivinen kuvaaja | Interaktiivinen kuvaaja

position vs time
speed and acceleration