🇳🇴 🇬🇧 🇩🇪 🇨🇿 🇫🇮

Meteor, poloha: Oost-Vlieland 2017-11-16 22:57:09 UTC

Soubor KML  |  InteraktivnĂ­ mapa

Mapa zobrazuje dráhy meteoru. Světlejší čáry ukazují směry od pozorovacích stanic při objevení se meteoru a tmavší čáry, kde byl naposledy viděn. Modrá šipka značí viditelnou dráhu meteoru.

static map
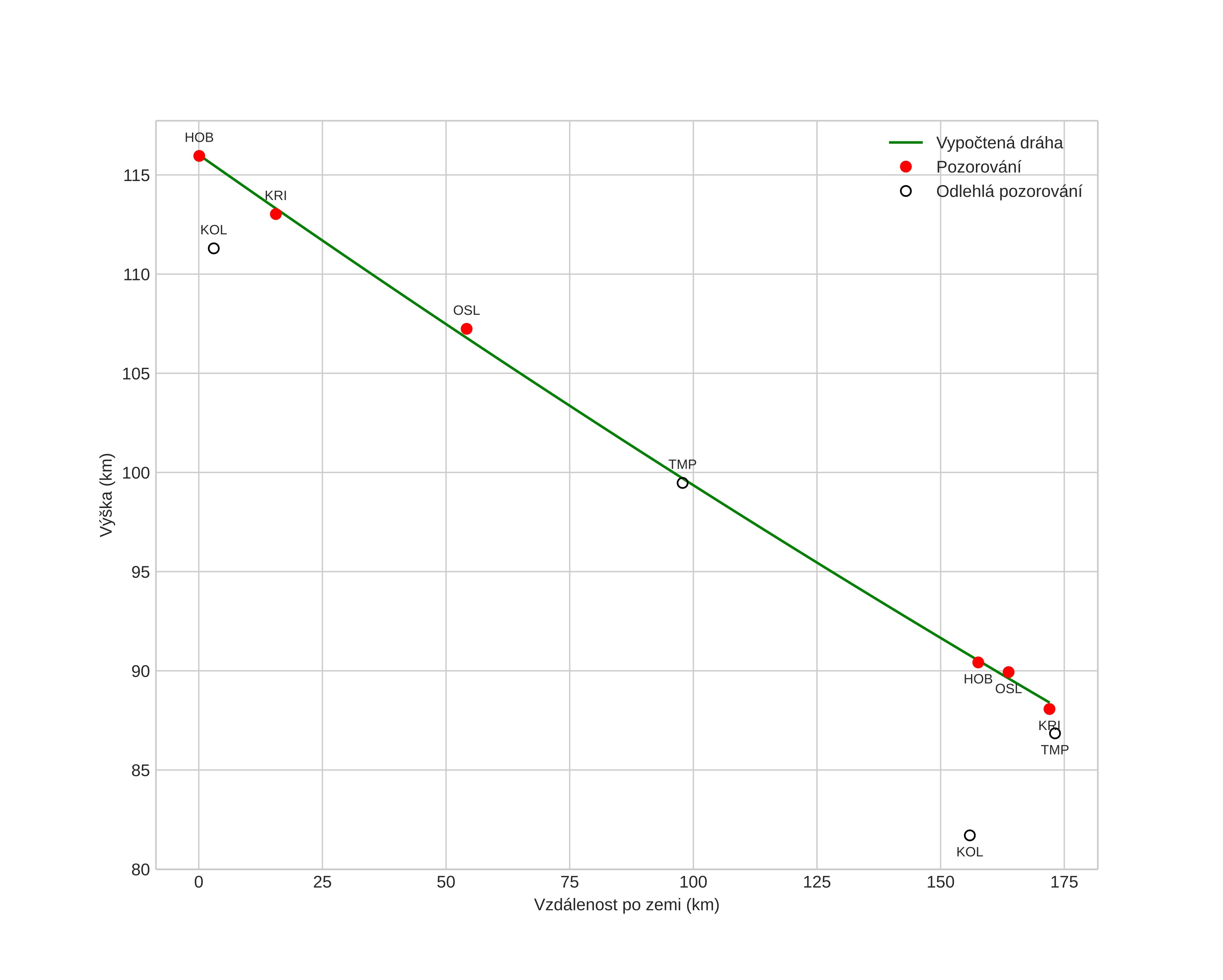
height profile
Atmosférická dráha meteoru:
Počáteční výška: 116,0 km
Konečná výška: 88,4 km
Počáteční poloha: 56,671N 6,068E
Konečná poloha: 55,964N 3,586E
Směr: 243,8°
Sklon: 9,1°
VstupnĂ­ rychlost: 74,3 km/s
Rektascenze radiantu: 10:15 (154,0°)
Deklinace radiantu: 21,5°
MeteorickĂ˝ roj: Leonidy
Elementy dráhy meteoroidu:
Vzdálenost v periheliu: 0,981 AU
Excentricita: 1,151
Sklon dráhy: 163,1°
Délka vzestupného uzlu: 234,5°
Argument perihelia: 170,0°
Střední anomálie: 0,4°
Epocha: 2017 NOV 16 22:57:09
orbit plot

NeinteraktivnĂ­ graf | InteraktivnĂ­ graf

position vs time
speed and acceleration