🇳🇴 🇬🇧 🇩🇪 🇨🇿 🇫🇮

Meteor Oost-Vlielandin yllä 2017-11-16 22:57:09 UTC

KML-tiedosto  |  Interaktiivinen kartta

Kartta näyttää meteorin suuntahavainnot. Vaaleammat viivat näyttävät suunnat havaintoasemilta meteorin ilmestyessä, ja tummemmat viivat näyttävät, missä se viimeksi nähtiin. Sininen nuoli näyttää meteorin näkyvän lennon.

static map
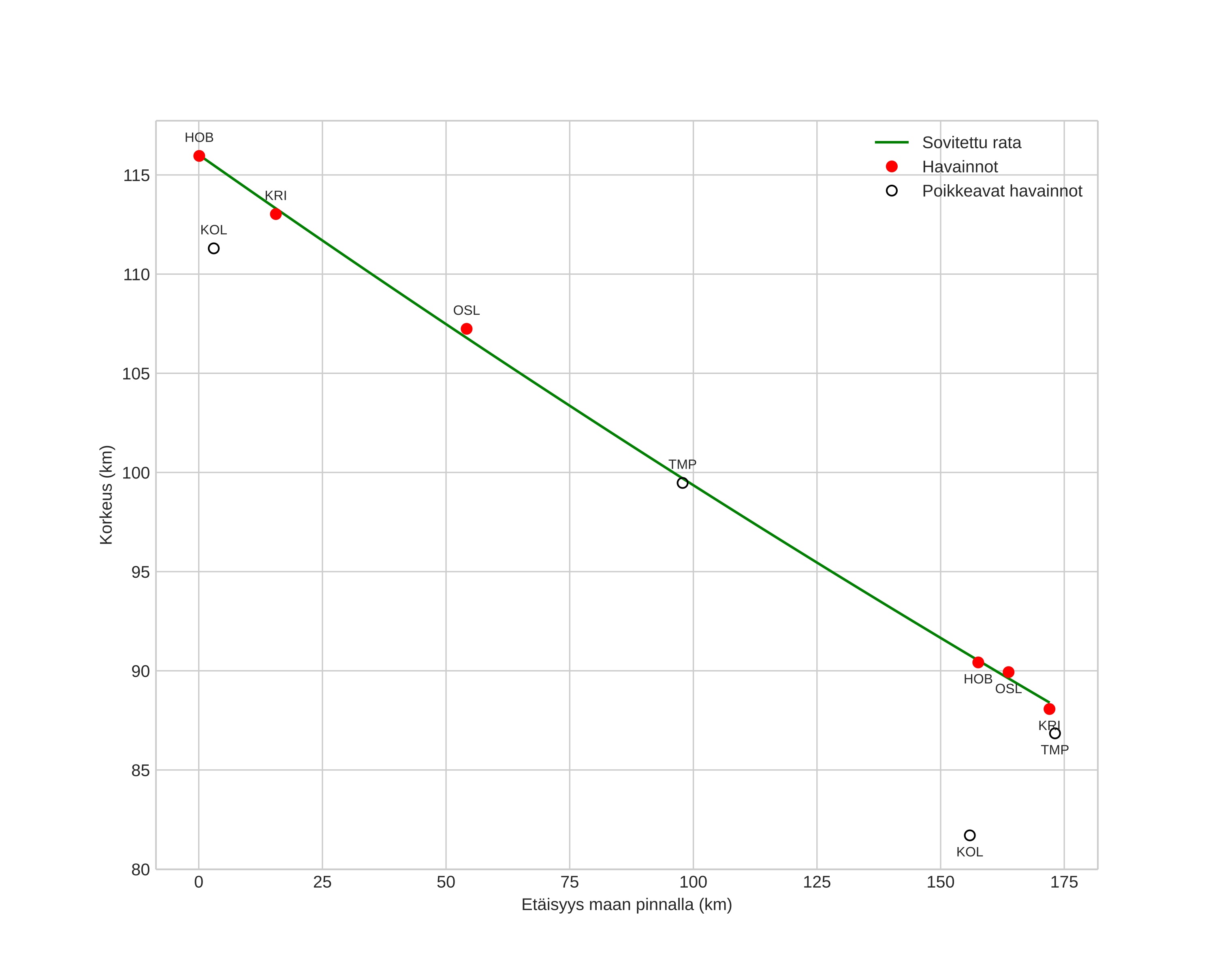
height profile
Meteorin ilmakehärata:
Alkukorkeus: 116,0 km
Loppukorkeus: 88,4 km
Alkupiste: 56,671N 6,068E
Loppupiste: 55,964N 3,586E
Suunta: 243,8°
Kallistuskulma: 9,1°
Tulonopeus: 74,3 km/s
Radiantin R,A,: 10:15 (154,0°)
Radiantin Dekl,: 21,5°
Meteoriparvi: Leonidit
Meteoroidin rataelementit:
Perihelietäisyys: 0,981 AU
Eksentrisyys: 1,151
Inklinaatio: 163,1°
Nousevan solmun pituus: 234,5°
Perihelin argumentti: 170,0°
Keskianomalia: 0,4°
Epookki: 2017 NOV 16 22:57:09
orbit plot

Ei-interaktiivinen kuvaaja | Interaktiivinen kuvaaja

position vs time
speed and acceleration