🇳🇴 🇬🇧 🇩🇪 🇨🇿 🇫🇮

Meteor, poloha: Lierbyen 2017-11-18 04:51:50 UTC

Soubor KML  |  InteraktivnĂ­ mapa

Mapa zobrazuje dráhy meteoru. Světlejší čáry ukazují směry od pozorovacích stanic při objevení se meteoru a tmavší čáry, kde byl naposledy viděn. Modrá šipka značí viditelnou dráhu meteoru.

static map
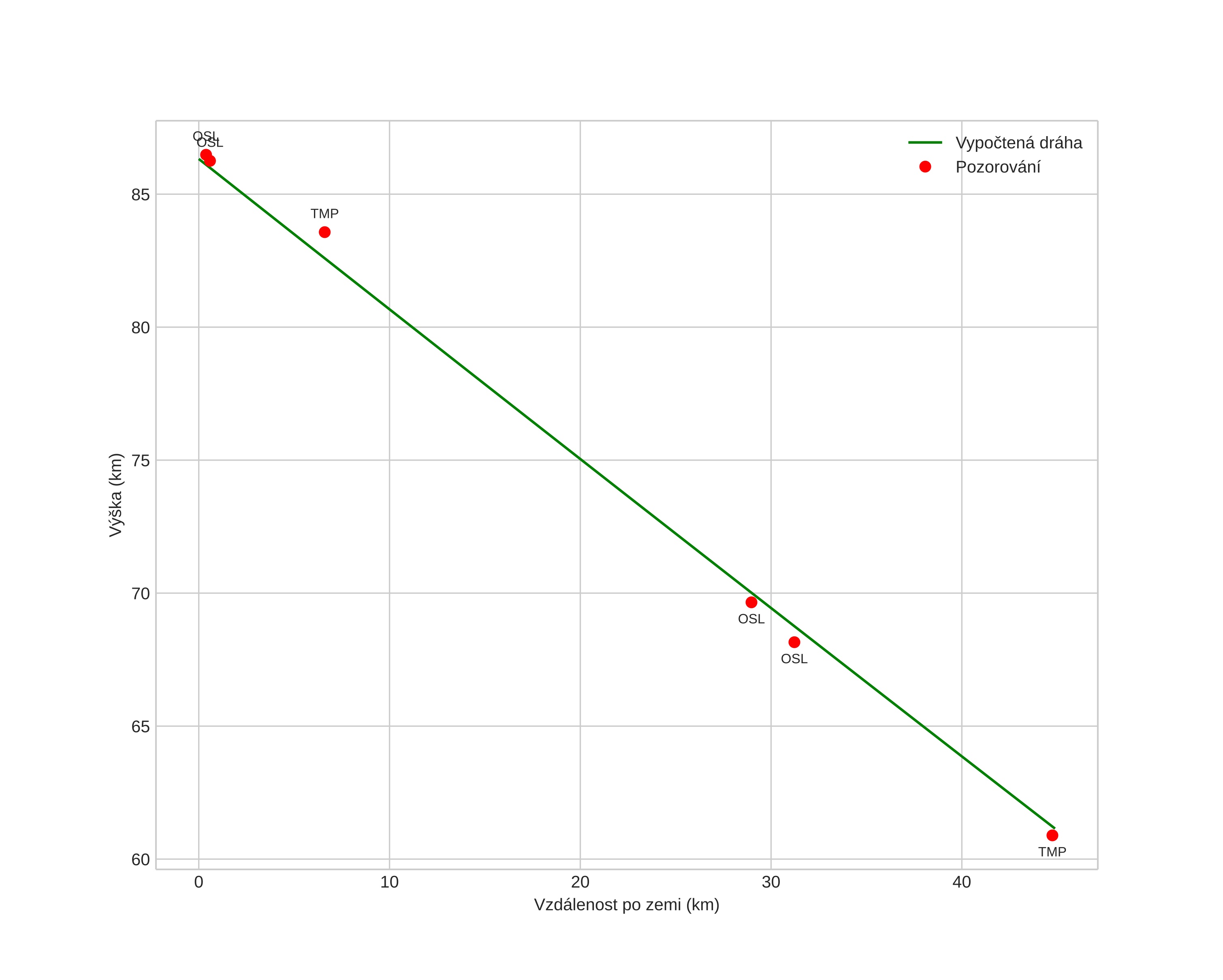
height profile
Atmosférická dráha meteoru:
Počáteční výška: 86,3 km
Konečná výška: 61,1 km
Počáteční poloha: 59,394N 10,058E
Konečná poloha: 59,790N 10,210E
Směr: 10,9°
Sklon: 29,3°
VstupnĂ­ rychlost: 54,9 km/s
Rektascenze radiantu: 08:41 (130,3°)
Deklinace radiantu: -1,5°
MeteorickĂ˝ roj: sporadickĂ˝
Elementy dráhy meteoroidu:
Vzdálenost v periheliu: 0,538 AU
Excentricita: 0,408
Sklon dráhy: 137,9°
Délka vzestupného uzlu: 55,8°
Argument perihelia: 125,0°
Střední anomálie: 280,4°
Epocha: 2017 NOV 18 04:51:50
orbit plot

NeinteraktivnĂ­ graf | InteraktivnĂ­ graf

position vs time
speed and acceleration