🇳🇴 🇬🇧 🇩🇪 🇨🇿 🇫🇮

Meteor Lierbyenin yllä 2017-11-18 04:51:50 UTC

KML-tiedosto  |  Interaktiivinen kartta

Kartta näyttää meteorin suuntahavainnot. Vaaleammat viivat näyttävät suunnat havaintoasemilta meteorin ilmestyessä, ja tummemmat viivat näyttävät, missä se viimeksi nähtiin. Sininen nuoli näyttää meteorin näkyvän lennon.

static map
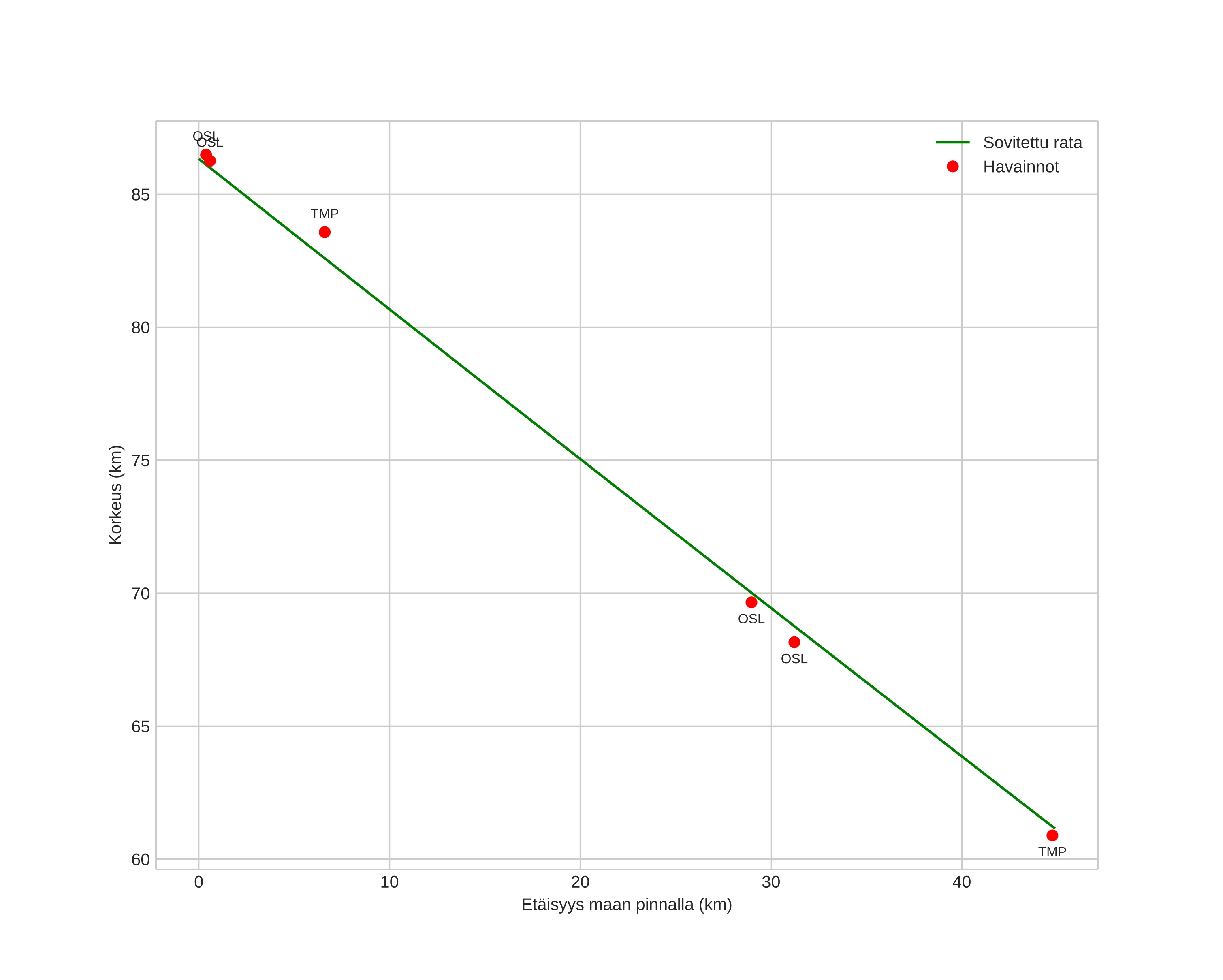
height profile
Meteorin ilmakehärata:
Alkukorkeus: 86,3 km
Loppukorkeus: 61,1 km
Alkupiste: 59,394N 10,058E
Loppupiste: 59,790N 10,210E
Suunta: 10,9°
Kallistuskulma: 29,3°
Tulonopeus: 54,9 km/s
Radiantin R,A,: 08:41 (130,3°)
Radiantin Dekl,: -1,5°
Meteoriparvi: Sporadinen
Meteoroidin rataelementit:
Perihelietäisyys: 0,538 AU
Eksentrisyys: 0,408
Inklinaatio: 137,9°
Nousevan solmun pituus: 55,8°
Perihelin argumentti: 125,0°
Keskianomalia: 280,4°
Epookki: 2017 NOV 18 04:51:50
orbit plot

Ei-interaktiivinen kuvaaja | Interaktiivinen kuvaaja

position vs time
speed and acceleration