🇳🇴 🇬🇧 🇩🇪 🇨🇿 🇫🇮

Meteor, poloha: Rollag 2017-11-19 02:12:19 UTC

Gran – 2
Gran – 2
Harestua – 1
Harestua – 1
Temp – 1
Temp – 1
Voksenlia – 2
Voksenlia – 2

Soubor KML  | Interaktivní mapa

map

Mapa zobrazuje dráhy meteoru. Světlejší čáry ukazují směry od pozorovacích stanic při objevení se meteoru a tmavší čáry, kde byl naposledy viděn. Modrá šipka značí viditelnou dráhu meteoru.

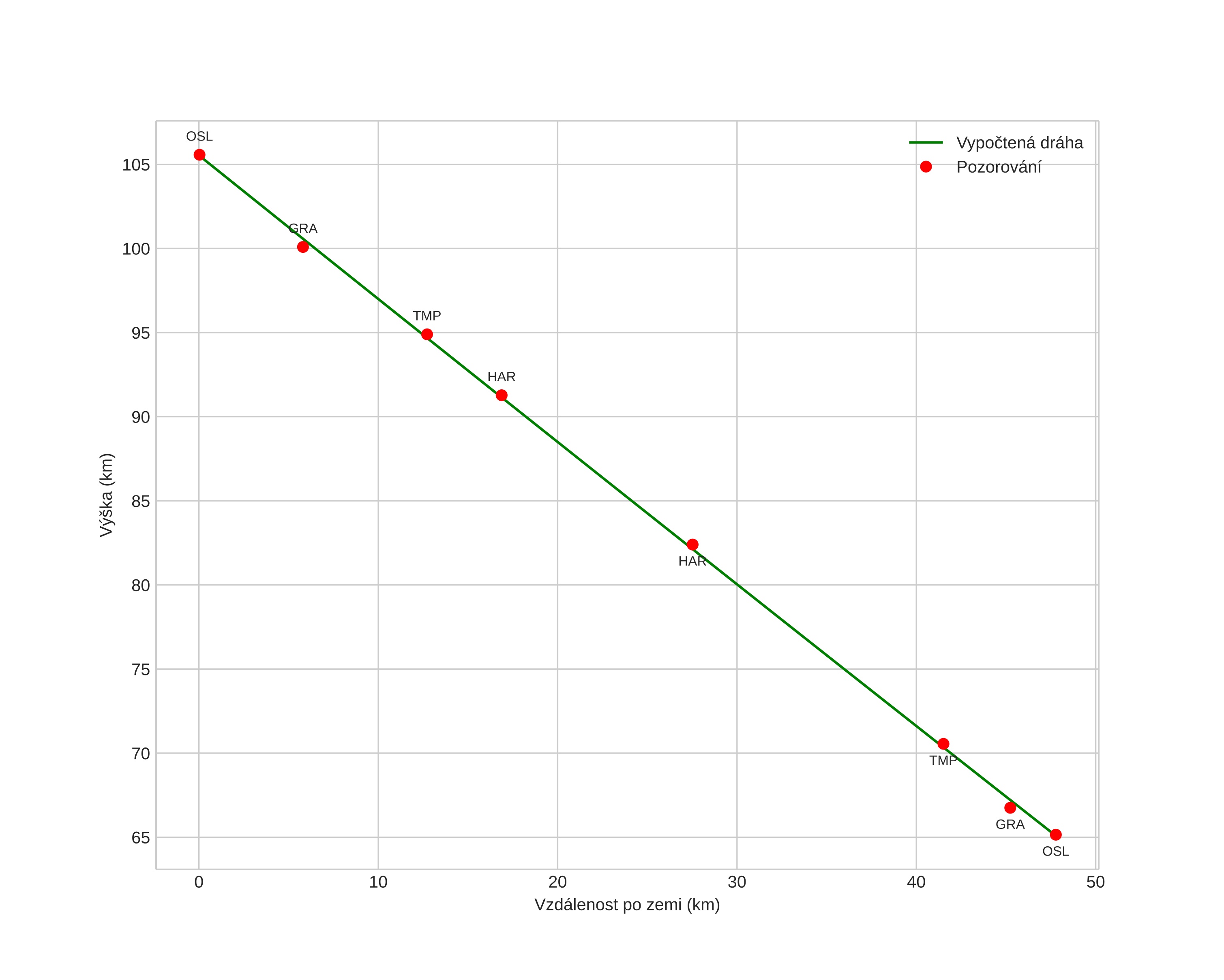
height profile
Atmosférická dráha meteoru:
Počáteční výška: 105,5 km
Konečná výška: 65,1 km
Počáteční poloha: 59,918N 8,647E
Konečná poloha: 60,219N 9,261E
Směr: 45,3°
Sklon: 40,2°
Vstupní rychlost: 27,5 km/s
Rektascenze radiantu: 04:15 (63,9°)
Deklinace radiantu: 14,5°
Meteorický roj: Jižní Tauridy
Elementy dráhy meteoroidu:
Vzdálenost v periheliu: 0,446 AU
Excentricita: 0,779
Sklon dráhy: 6,3°
Délka vzestupného uzlu: 56,7°
Argument perihelia: 104,6°
Střední anomálie: 344,7°
Epocha: 2017 NOV 19 02:12:19
orbit

Neinteraktivní graf | Interaktivní graf

position vs time
speed & acceleration